Open Access

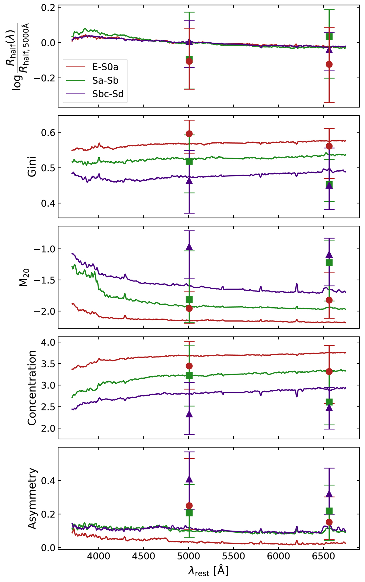
Fig. 4.

image

Download original image

Median trends of the non-parametric morphological properties as a function of rest-frame wavelength. We bin the galaxies according to their morphological type. The coloured markers represent the median values of the non-parametric morphological properties for each galaxy group, as measured from the emission line maps of [O III]λ5007 and Hα. The error bars represent the 16th–84th percentile range. The smoothness index was omitted from this plot due to the small number of wavelength elements with reliable measurement.

Current usage metrics show cumulative count of Article Views (full-text article views including HTML views, PDF and ePub downloads, according to the available data) and Abstracts Views on Vision4Press platform.

Data correspond to usage on the plateform after 2015. The current usage metrics is available 48-96 hours after online publication and is updated daily on week days.

Initial download of the metrics may take a while.