Open Access

Fig. 5

image

Download original image

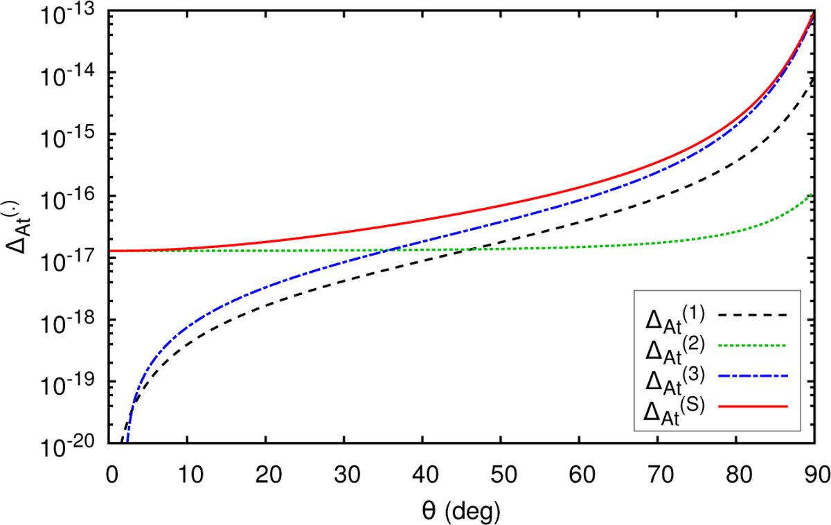
Three contributions of the spherically symmetric, static part of the atmospheric refractivity , and to the two-way frequency transfer correction (59) and their sum as functions of the satellite zenith angle θ. The example is evaluated for ground-to-satellite transfer through an isothermal atmosphere in hydrostatic equilibrium with an observer on the ground located at the equator with rA = 6371 km and a satellite moving on a circular orbit in the equatorial plane at a radius of rA + 408 km in the direction of the rotation of the Earth.

Current usage metrics show cumulative count of Article Views (full-text article views including HTML views, PDF and ePub downloads, according to the available data) and Abstracts Views on Vision4Press platform.

Data correspond to usage on the plateform after 2015. The current usage metrics is available 48-96 hours after online publication and is updated daily on week days.

Initial download of the metrics may take a while.