Open Access

Fig. 3.

image

Download original image

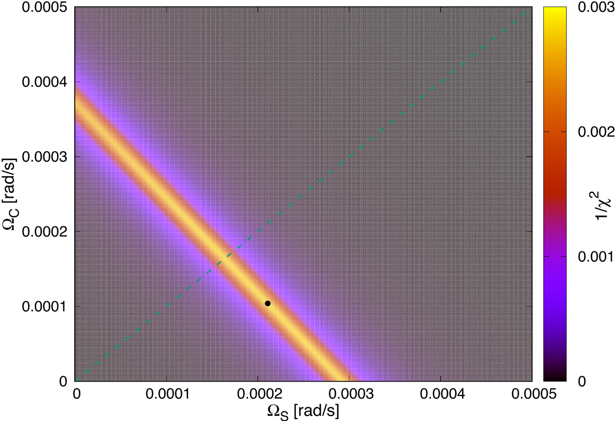
Contour map of the inverse of the quality function, 1/χ2, showing the goodness of the fits in the plane ΩS − ΩC, considering all the observed rotational splittings associated with  = 1, 2. We assume GD 278 rotates following a linear profile. The dashed green line indicates the corresponding solutions according to rigid rotation. The best-fitting solution is indicated with a black dot.

Current usage metrics show cumulative count of Article Views (full-text article views including HTML views, PDF and ePub downloads, according to the available data) and Abstracts Views on Vision4Press platform.

Data correspond to usage on the plateform after 2015. The current usage metrics is available 48-96 hours after online publication and is updated daily on week days.

Initial download of the metrics may take a while.