Open Access

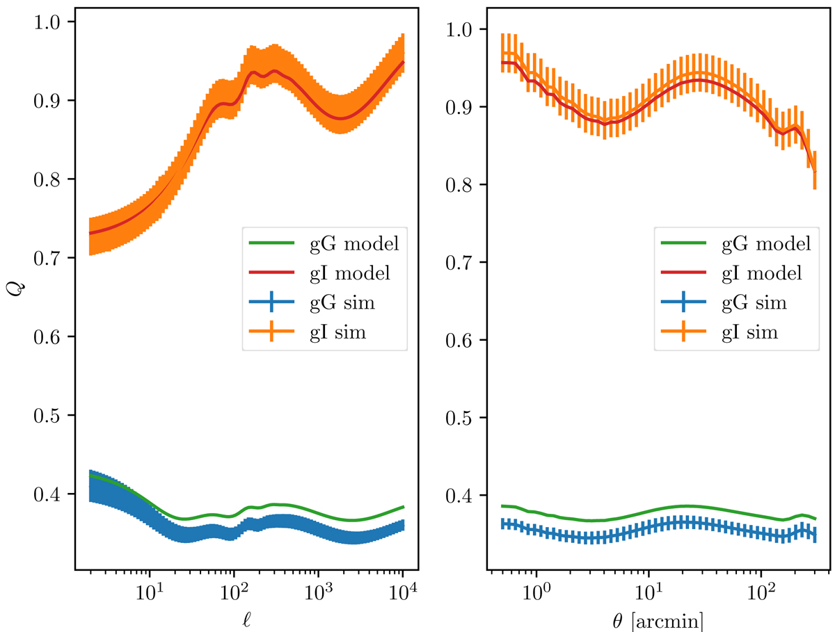
Fig. A.1.

image

Download original image

Effect of photo-z modeling with MICE2. By applying the SC selection in Eqs. 8 or A.8, the lensing-drop GGg from photo-z model (green) is slightly biased compared with the results from true-z (blue), while the IA-drop GIg from photo-z model (red) is immune to such bias and agrees with the true-z result (orange).

Current usage metrics show cumulative count of Article Views (full-text article views including HTML views, PDF and ePub downloads, according to the available data) and Abstracts Views on Vision4Press platform.

Data correspond to usage on the plateform after 2015. The current usage metrics is available 48-96 hours after online publication and is updated daily on week days.

Initial download of the metrics may take a while.