Open Access

Fig. 1

image

Download original image

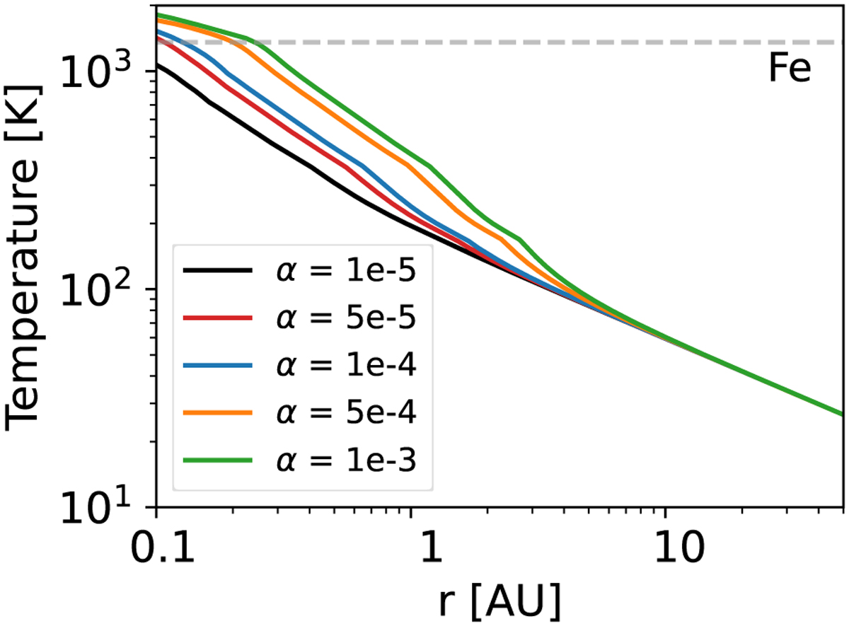
Disc temperature as a function of viscosity. The higher the viscosity, the higher the temperature close to the central star due to stronger viscous heating. The evaporation temperature of iron (1357 K) is marked by the dashed line. Discs with higher viscosity are hotter and thus the evaporation front of iron (intersection between dashed line and solid lines) is located further away from the star.

Current usage metrics show cumulative count of Article Views (full-text article views including HTML views, PDF and ePub downloads, according to the available data) and Abstracts Views on Vision4Press platform.

Data correspond to usage on the plateform after 2015. The current usage metrics is available 48-96 hours after online publication and is updated daily on week days.

Initial download of the metrics may take a while.