Open Access

Fig. A.1

image

Download original image

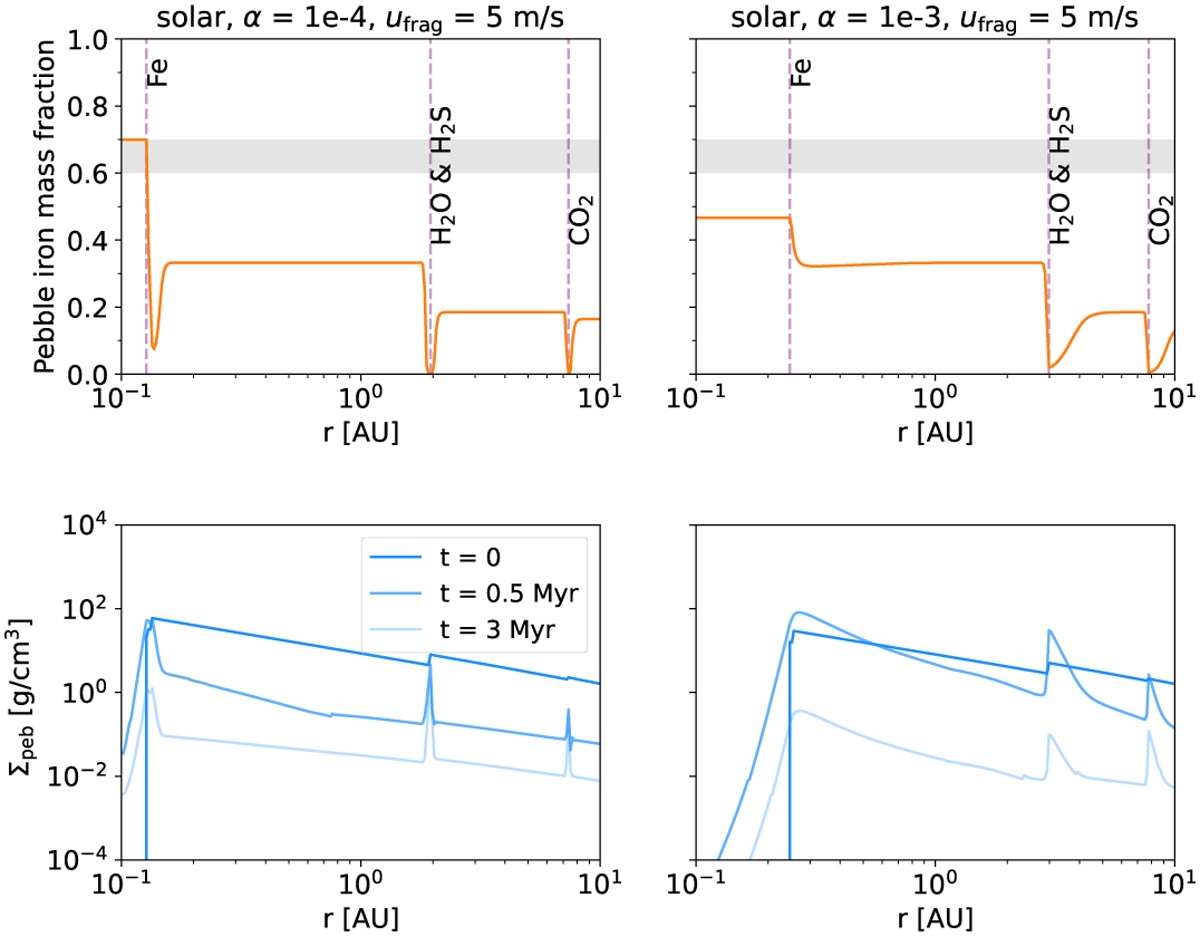
Pebble iron mass fraction as a function of orbital distance and time evolution of pebble surface density profile for two example discs with solar composition and α = 10−4, 10−3. This is the outcome when we employ a chemical partitioning model, where Tcond = 1316 K for MgSiO3.

Current usage metrics show cumulative count of Article Views (full-text article views including HTML views, PDF and ePub downloads, according to the available data) and Abstracts Views on Vision4Press platform.

Data correspond to usage on the plateform after 2015. The current usage metrics is available 48-96 hours after online publication and is updated daily on week days.

Initial download of the metrics may take a while.