Open Access

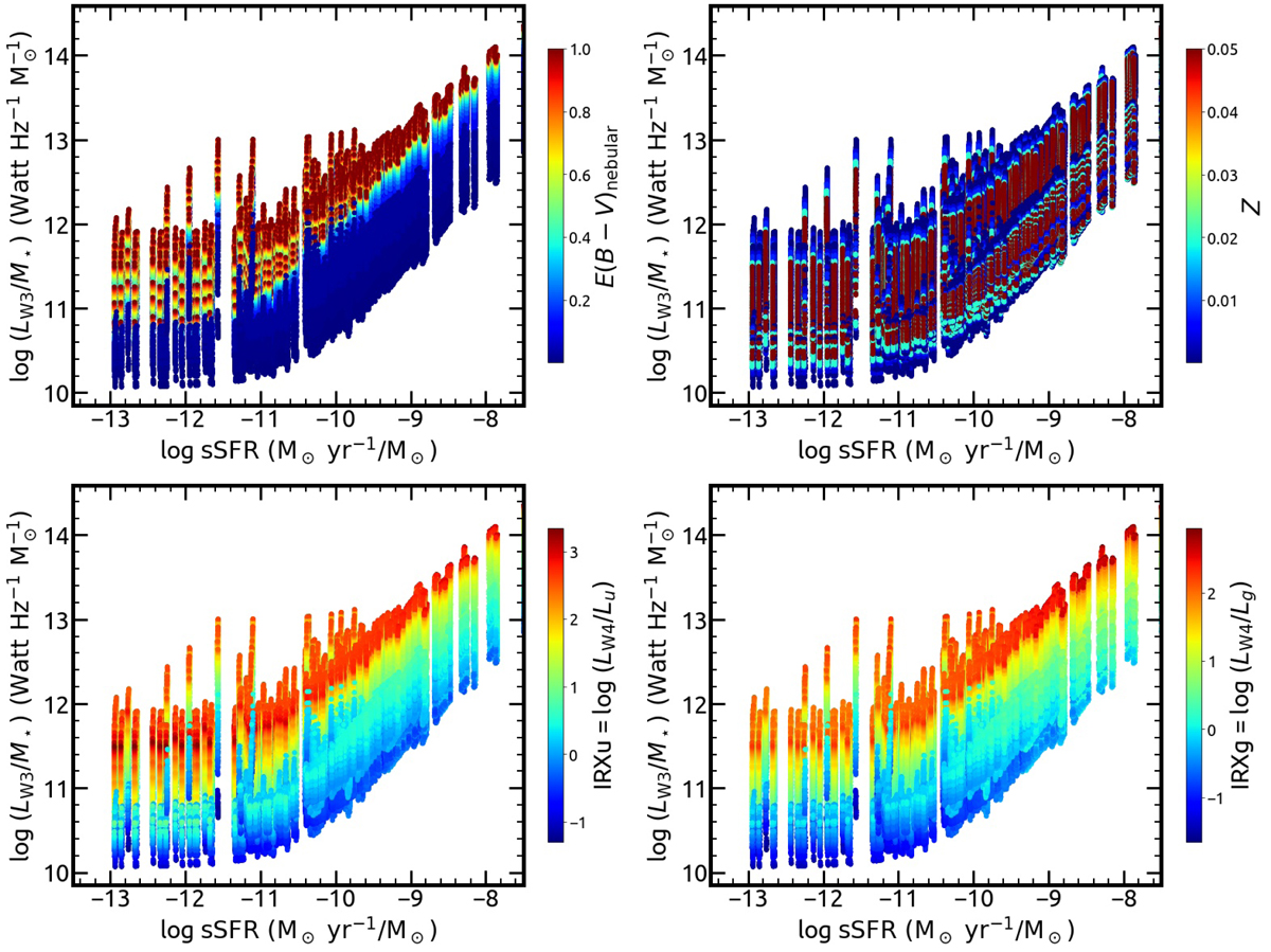
Fig. 2.

image

Download original image

WISE band-3 luminosity (LW3) per M unit, as a function of sSFR for the generated library of galaxy SEDs. All panels show the same sources but in the top left they are color-coded based on their E(B − V), in the top right based on their metallicity (Z), in the bottom left on their infrared excess (IRXu = log LW4/Lu), and in the bottom right based on their infrared excess using the g band instead of u (IRXg = log LW4/Lg).

Current usage metrics show cumulative count of Article Views (full-text article views including HTML views, PDF and ePub downloads, according to the available data) and Abstracts Views on Vision4Press platform.

Data correspond to usage on the plateform after 2015. The current usage metrics is available 48-96 hours after online publication and is updated daily on week days.

Initial download of the metrics may take a while.