Open Access

Fig. 14.

image

Download original image

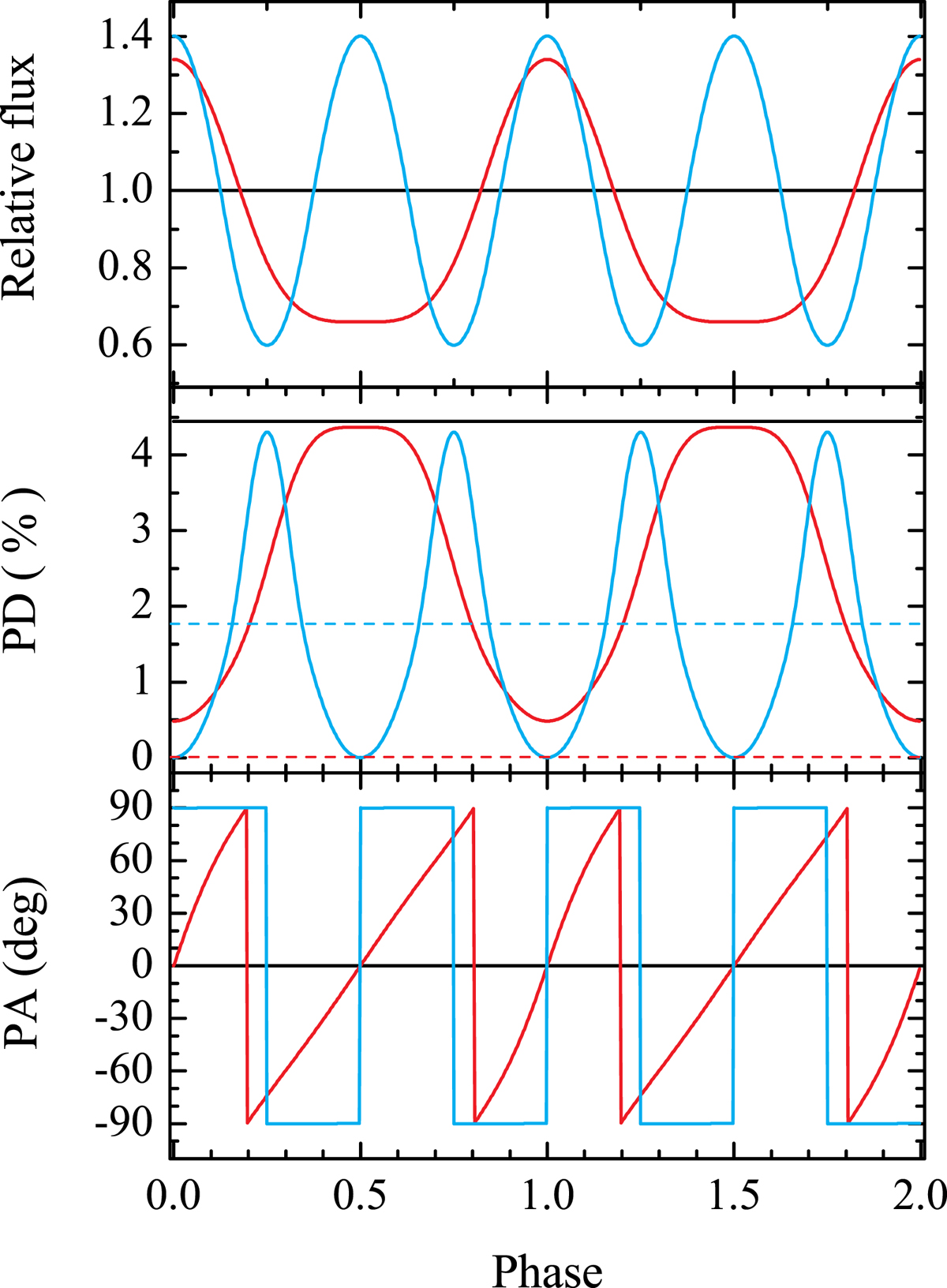
Relative pulse profiles (top panel), the phase-dependent PD (middle panel), and the phase-dependent PA (bottom panel) computed in the IXPE energy band 2–8 keV for three sets of angles: the spot center colatitude θsp = 0° and the inclination angle i = 90° (black lines), θsp = 90°, i = 90° (blue curves), and θsp = 60°, i = 30° (red curves). The phase-averaged PDs are shown with dashed lines. The global model hatm (see Table 1) was used.

Current usage metrics show cumulative count of Article Views (full-text article views including HTML views, PDF and ePub downloads, according to the available data) and Abstracts Views on Vision4Press platform.

Data correspond to usage on the plateform after 2015. The current usage metrics is available 48-96 hours after online publication and is updated daily on week days.

Initial download of the metrics may take a while.