Open Access

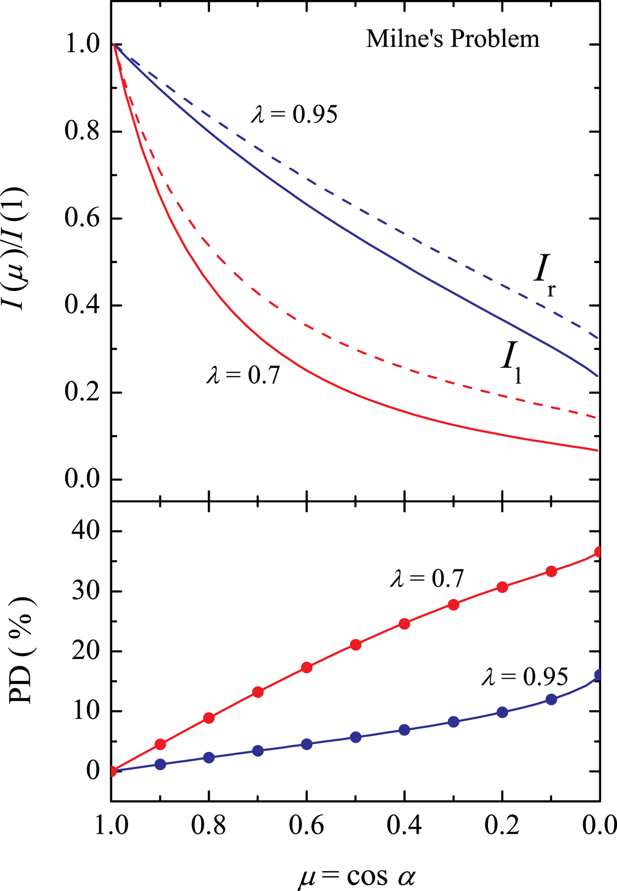
Fig. 2.

image

Download original image

Dependence of the specific intensities in two polarization modes (top panel) and PD (bottom panel) on the zenith angle for the atmosphere without sources of photons (Milne’s problem, B = 0). Blue and red curves correspond to our calculations for λE = 0.95 and 0.7, respectively. Solid and dashed lines it the top panel are for Il and Ir, respectively. Circles at the bottom panel are the solution presented in Loskutov & Sobolev (1979).

Current usage metrics show cumulative count of Article Views (full-text article views including HTML views, PDF and ePub downloads, according to the available data) and Abstracts Views on Vision4Press platform.

Data correspond to usage on the plateform after 2015. The current usage metrics is available 48-96 hours after online publication and is updated daily on week days.

Initial download of the metrics may take a while.