Open Access

Fig. 5.

image

Download original image

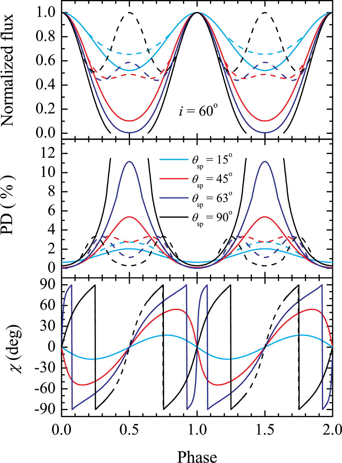
Normalized monochromatic pulse profiles (top panel), PD (middle panel) and PA (bottom panel) as a function of the rotation phase of a slowly rotating NS with M = 1.5 M and R = 12 km, and one (solid curves) or two antipodal (dashed curves) small bright spots on the surface. The radiation from the spots has angular and polarization distributions similar to those of a pure electron-scattering atmosphere. The computations were performed for inclination i = 60° and four different spot co-latitudes θsp= 15° (light blue curves), 45° (red curves), 63° (blue curves), and 90° (black curves). This figure is similar to Fig. 11 from Viironen & Poutanen (2004) who considered a NS rotating at 400 Hz.

Current usage metrics show cumulative count of Article Views (full-text article views including HTML views, PDF and ePub downloads, according to the available data) and Abstracts Views on Vision4Press platform.

Data correspond to usage on the plateform after 2015. The current usage metrics is available 48-96 hours after online publication and is updated daily on week days.

Initial download of the metrics may take a while.