Open Access

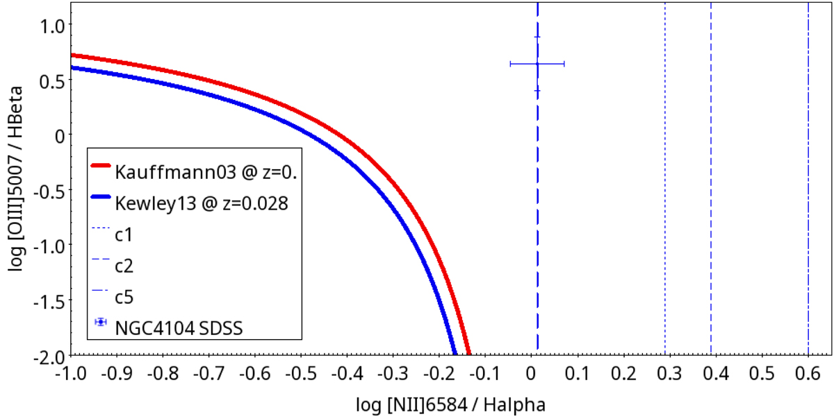
Fig. 13.

image

Download original image

log([OIII]5007/Hβ) versus log([NII]6584A/Hα) for the SDSS spectrum (central area, see e.g. Fig. B.1) and the c1, c2, and c5 MISTRAL regions. Regions under the red and blue curves are normal galaxies according to Kauffmann et al. (2003) and Kewley et al. (2013), respectively, while regions above these curves are active objects (AGN, LINERS).

Current usage metrics show cumulative count of Article Views (full-text article views including HTML views, PDF and ePub downloads, according to the available data) and Abstracts Views on Vision4Press platform.

Data correspond to usage on the plateform after 2015. The current usage metrics is available 48-96 hours after online publication and is updated daily on week days.

Initial download of the metrics may take a while.