Open Access

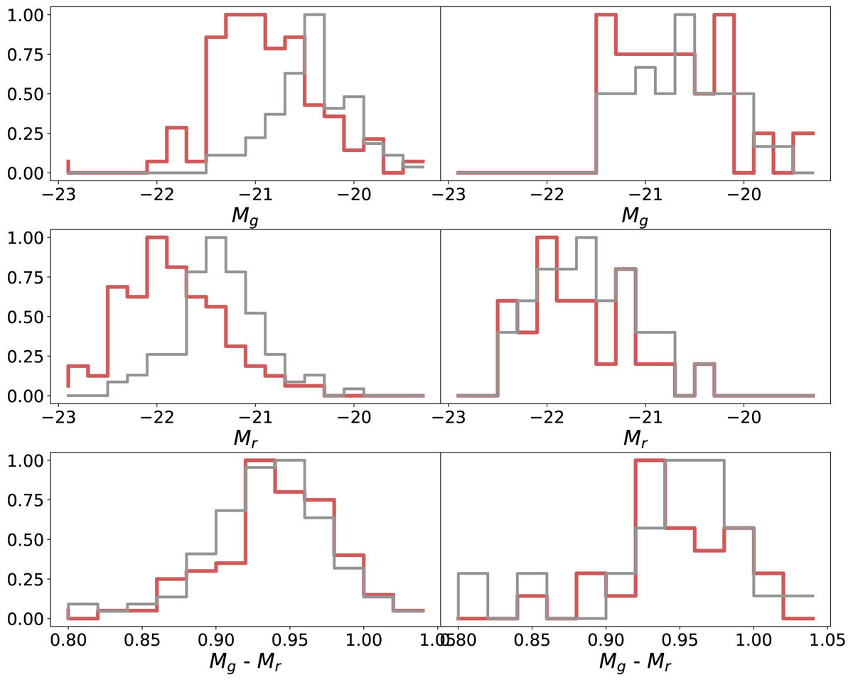
Fig. 4.

image

Download original image

Normalised histograms of the absolute magnitudes of the BGGs in the g (top) and r (middle) bands, and of the (g − r) colour (bottom) for FGs (red) and non-FGs (grey). Left: 87 FGs and 100 non-FGs. Right: 25 FGs and 30 non-FGs analysed morphologically.

Current usage metrics show cumulative count of Article Views (full-text article views including HTML views, PDF and ePub downloads, according to the available data) and Abstracts Views on Vision4Press platform.

Data correspond to usage on the plateform after 2015. The current usage metrics is available 48-96 hours after online publication and is updated daily on week days.

Initial download of the metrics may take a while.