Open Access

Fig. 2.

image

Download original image

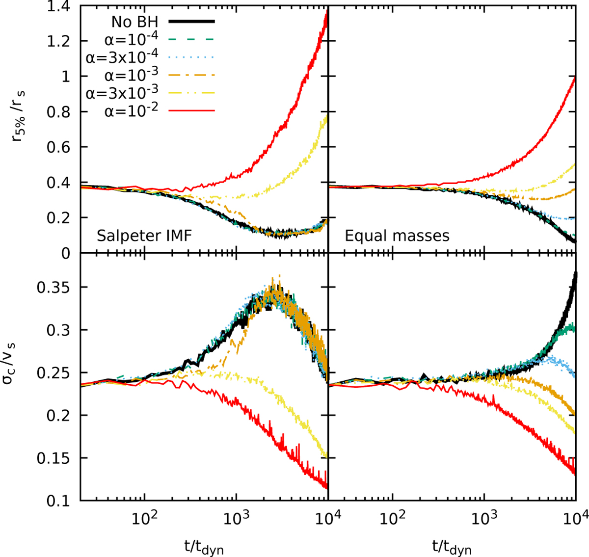
Evolution of the Lagrangian radii r5% enclosing 5% of the system’s mass (top panels) and central velocity dispersion σc evaluated for particles inside r5% (bottom panels) for models with a Salpeter mass function (left) and equal masses (right), and α = 10−4, 3 × 10−4, 10−3, 3 × 10−3, and 10−2. In all cases the systems were initially isotropic and N = 105 so that μ = α × 105.

Current usage metrics show cumulative count of Article Views (full-text article views including HTML views, PDF and ePub downloads, according to the available data) and Abstracts Views on Vision4Press platform.

Data correspond to usage on the plateform after 2015. The current usage metrics is available 48-96 hours after online publication and is updated daily on week days.

Initial download of the metrics may take a while.