Open Access

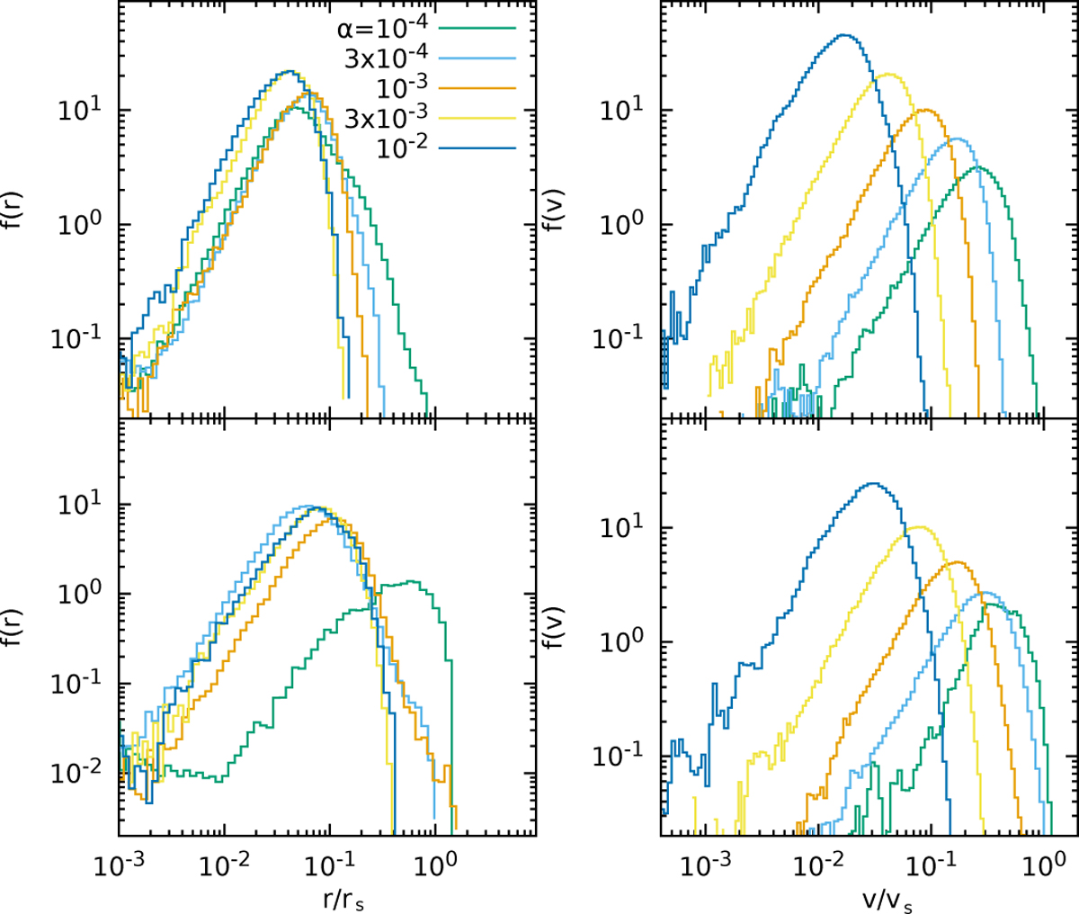
Fig. 5.

image

Download original image

Radial and velocity distributions for the IMBHs. Upper panels: distributions of the radial coordinate (left) and velocity (right) attained by IMBHs hosted in a Plummer model with N = 105 equal mass particles with an initially isotropic velocity distribution and the same combinations of α and μ as in Fig. 2. Lower panels: same as above but for models with Salpeter MF.

Current usage metrics show cumulative count of Article Views (full-text article views including HTML views, PDF and ePub downloads, according to the available data) and Abstracts Views on Vision4Press platform.

Data correspond to usage on the plateform after 2015. The current usage metrics is available 48-96 hours after online publication and is updated daily on week days.

Initial download of the metrics may take a while.