Open Access

Fig. 8.

image

Download original image

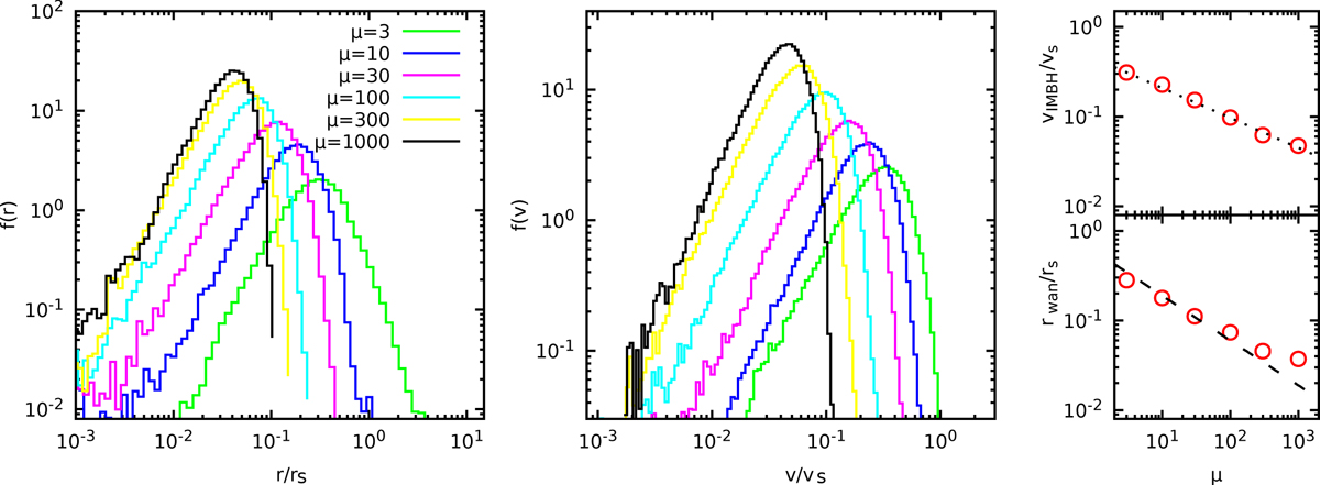
Wander radius (scaled to 0-1 over the simulation sample) as a function of μ and α (top panel) and wander velocity as a function of μ and α (bottom panel). The diagonal lines correspond to a constant number of particles: 104 (solid), 105 (dashed), 106 (dotted), and 107 (dot-dashed).

Current usage metrics show cumulative count of Article Views (full-text article views including HTML views, PDF and ePub downloads, according to the available data) and Abstracts Views on Vision4Press platform.

Data correspond to usage on the plateform after 2015. The current usage metrics is available 48-96 hours after online publication and is updated daily on week days.

Initial download of the metrics may take a while.