Open Access

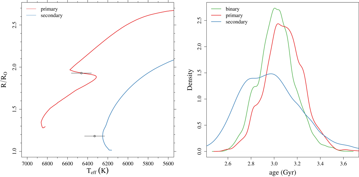
Fig. 1.

image

Download original image

Evolutionary tracks and age from the fit of the binary system. Left: comparison between the observational values of the effective temperature and radius of the two stars (grey circle) and the evolutionary tracks for the best solutions found in the analysis. The error bars correspond to 1σ errors. Right: density of probability for the estimated age of the system, and for the two individual stars.

Current usage metrics show cumulative count of Article Views (full-text article views including HTML views, PDF and ePub downloads, according to the available data) and Abstracts Views on Vision4Press platform.

Data correspond to usage on the plateform after 2015. The current usage metrics is available 48-96 hours after online publication and is updated daily on week days.

Initial download of the metrics may take a while.