Fig. 13

Download original image
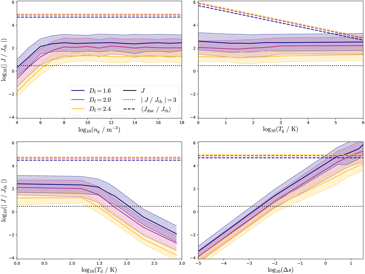
Average angular momentum |J/Jth| (solid lines) over gas number density ng (top left), gas temperature Tg (top right), dust temperature Td (bottom left), and gas-dust drift ∆s (bottom right), respectively, and typical CNM conditions. All results are for the ensemble of dust grains with a size of aeff = 400 nm and a fractal dimension Df = 1.6 (purple), Df = 2.0 (pink), and Df = 2.4 (yellow), respectively. The solid lines represent the ensemble average of the angular momenta while the shaded areas indicate the range of one standard deviation of all data points are situated. Dotted lines are the threshold of J/Jth = 3 where a stable alignment is assumed while dashed lines is the average of the corresponding critical angular momentum J = 〈 Jdisr〉 where dust grains are estimated to become rotationally disrupted. We note that we plot only the average threshold 〈 Jdisr〉 of rotational disruption for clarity while the range of Jdisr is about one order of magnitude.
Current usage metrics show cumulative count of Article Views (full-text article views including HTML views, PDF and ePub downloads, according to the available data) and Abstracts Views on Vision4Press platform.
Data correspond to usage on the plateform after 2015. The current usage metrics is available 48-96 hours after online publication and is updated daily on week days.
Initial download of the metrics may take a while.