Open Access
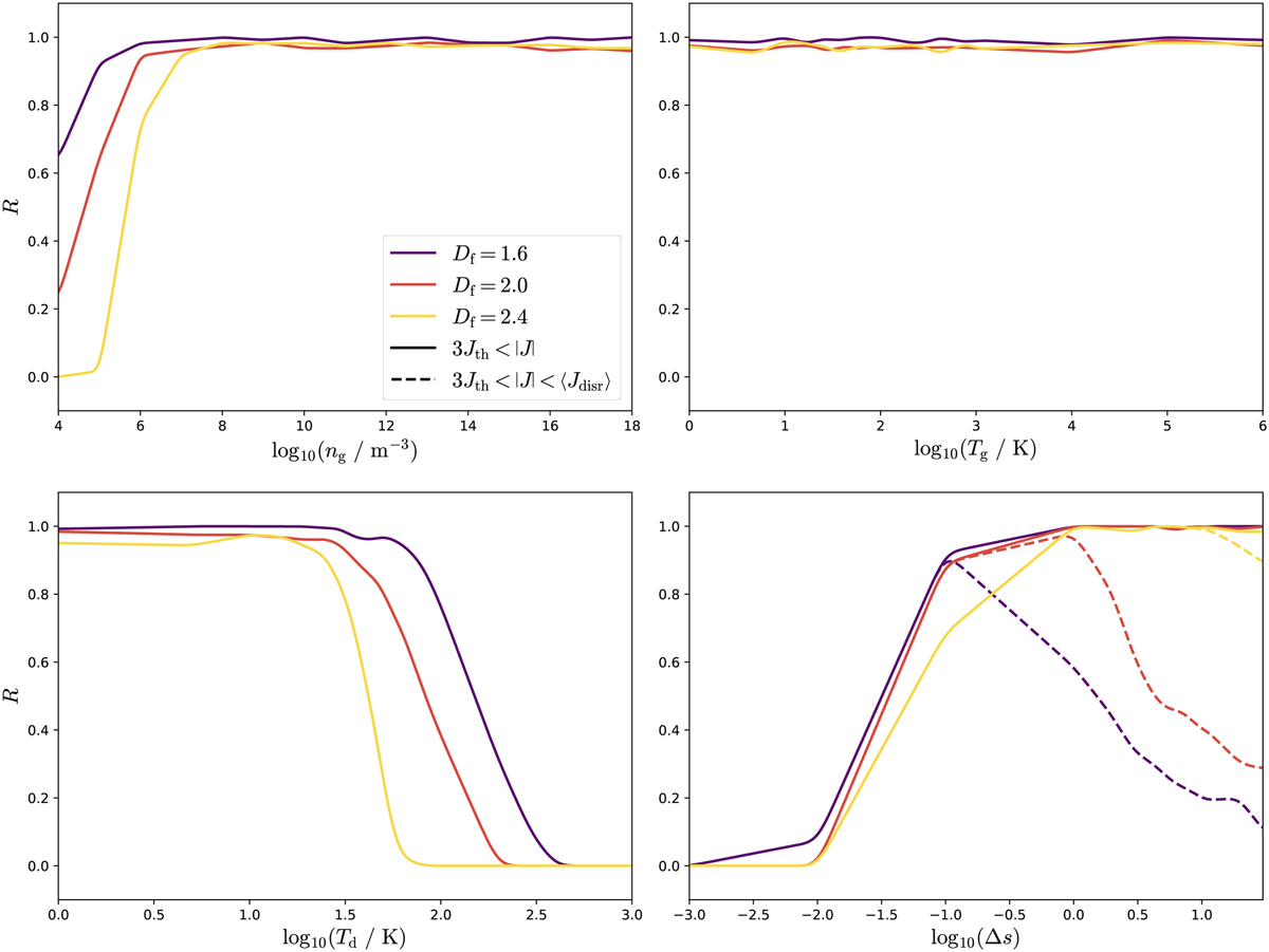
Fig. 15

Download original image
RRF R corresponding to the conditions presented in Fig. 13. Solid lines represent the ensemble of grains fulfilling the alignment condition 3Jth < \J\ while for dashed lines rotational disruption is also taken into account i.e. all grains rotating with |J| > Jdisr cannot contribute to polarization.
Current usage metrics show cumulative count of Article Views (full-text article views including HTML views, PDF and ePub downloads, according to the available data) and Abstracts Views on Vision4Press platform.
Data correspond to usage on the plateform after 2015. The current usage metrics is available 48-96 hours after online publication and is updated daily on week days.
Initial download of the metrics may take a while.