Fig. 20

Download original image
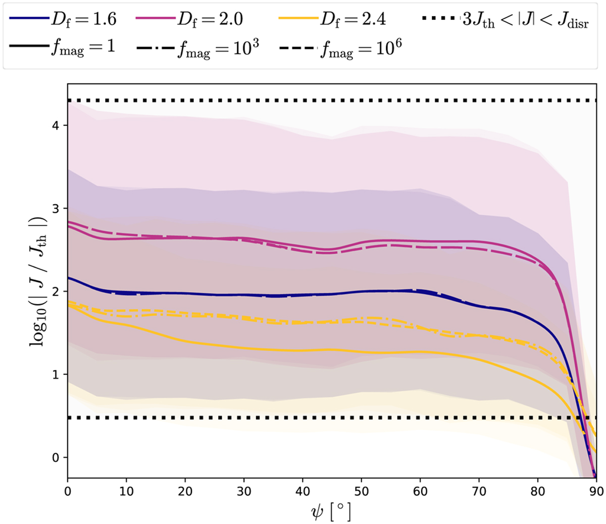
Angular momentum |J|Jth| over the angle ψ for dust grains with a size of aeff = 400 nm and a fractal dimension of Df = 1.6 (blue), Df = 2.0 (purple), and Df = 2.4 (yellow), respectively, for typical CNM conditions but with a gas-dust drift Δs = 1.0. The results are calculated for a constant alignment angle of ξ = 15° and for an amplification factor of fmag = 1 (solid), fmag = 103 (dotted), and fmag = 106 (dash dotted), respectively, for clarity we plot only the average values of |J|Jth| The range of angular momenta is generally of the same order as in Fig. 19.
Current usage metrics show cumulative count of Article Views (full-text article views including HTML views, PDF and ePub downloads, according to the available data) and Abstracts Views on Vision4Press platform.
Data correspond to usage on the plateform after 2015. The current usage metrics is available 48-96 hours after online publication and is updated daily on week days.
Initial download of the metrics may take a while.