Open Access

Fig. 24

image

Download original image

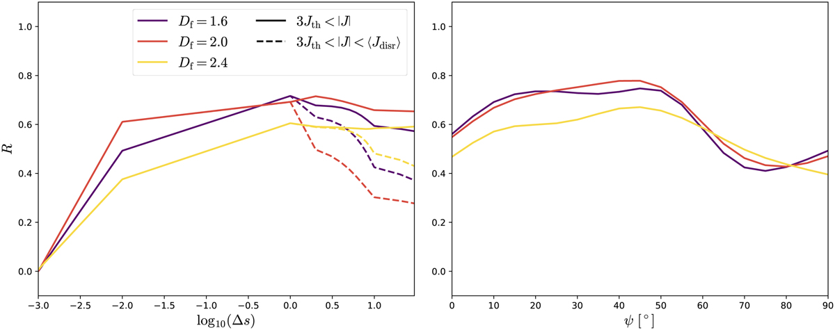
Left panel: RRF R over the gas-dust drift ∆s for the conditions presented in Fig. 19 but for an angle ψ = 15°. Right panel: same as the left panel but for the RRF over the angle ψ but with a gas-dust drift of ∆s = 1.0 (compare Fig. 20).

Current usage metrics show cumulative count of Article Views (full-text article views including HTML views, PDF and ePub downloads, according to the available data) and Abstracts Views on Vision4Press platform.

Data correspond to usage on the plateform after 2015. The current usage metrics is available 48-96 hours after online publication and is updated daily on week days.

Initial download of the metrics may take a while.