Fig. B.1

Download original image
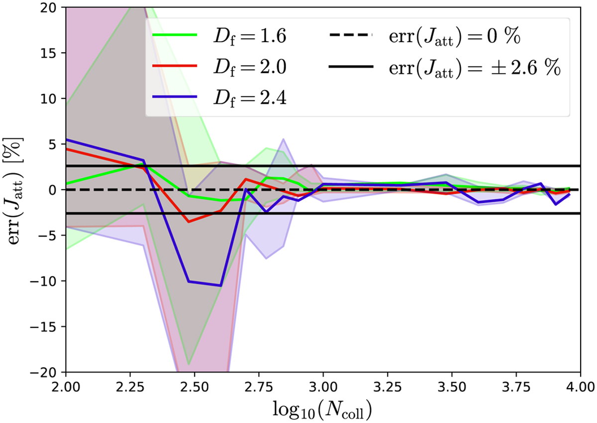
Distribution of the noise level of the angular momentum Jatt at distinct attractor points calculated for grains with an effective radius aeff = 400 nm and the different fractal dimensions of Df = 1.6 (solid green), Df = 2.0 (solid red), and Df = 2.4 (solid blue), respectively, dependent on the number of collisions Ncoll. All data points are normalized by the corresponding results at Ncoll = 104. Solid lines are the average of all Jatt while the shaded areas represent the minima and maxima of the noise level per Ncoll. Horizontal black lines indicate the range of ±2.6 %.
Current usage metrics show cumulative count of Article Views (full-text article views including HTML views, PDF and ePub downloads, according to the available data) and Abstracts Views on Vision4Press platform.
Data correspond to usage on the plateform after 2015. The current usage metrics is available 48-96 hours after online publication and is updated daily on week days.
Initial download of the metrics may take a while.