Fig. C.1

Download original image
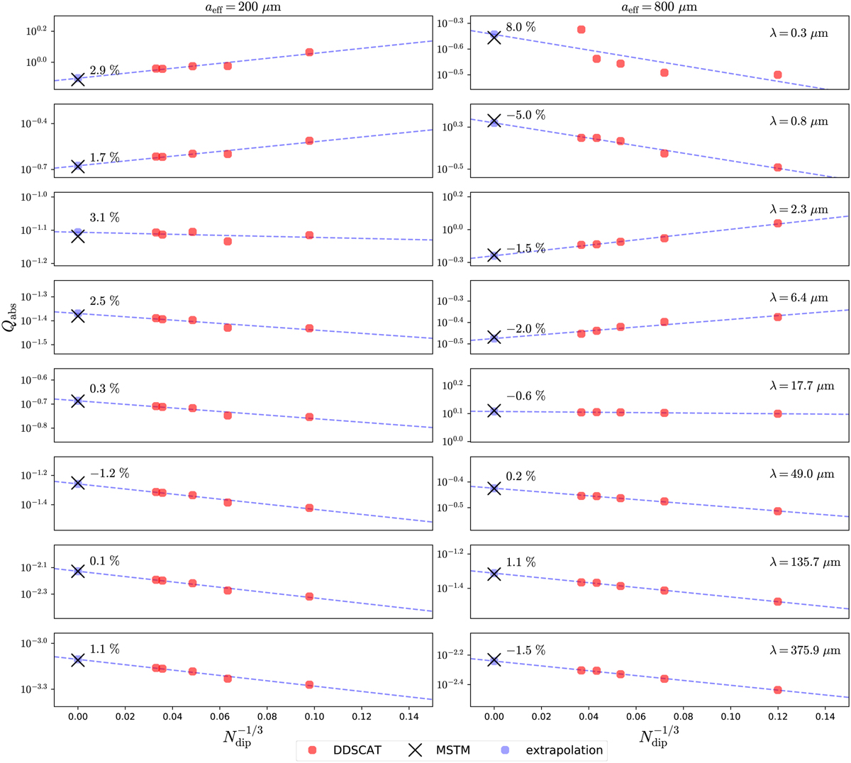
Plots of the efficiency of absorption Qabs(λ) for two exemplary grain shapes with a fractal dimension of Df = 2.0, different wavelengths λ (rows), and grain sizes aeff (columns). Solutions are calculated with the DDSCAT code for different values of the number of dipoles Ndip (red dot). The DDSCAT solutions are extrapolated assuming Ndip → ∞ (blue dots). The percentage values represent the error between the extrapolated solutions and the exact solutions of the MSTM code (black cross).
Current usage metrics show cumulative count of Article Views (full-text article views including HTML views, PDF and ePub downloads, according to the available data) and Abstracts Views on Vision4Press platform.
Data correspond to usage on the plateform after 2015. The current usage metrics is available 48-96 hours after online publication and is updated daily on week days.
Initial download of the metrics may take a while.