Fig. E.1

Download original image
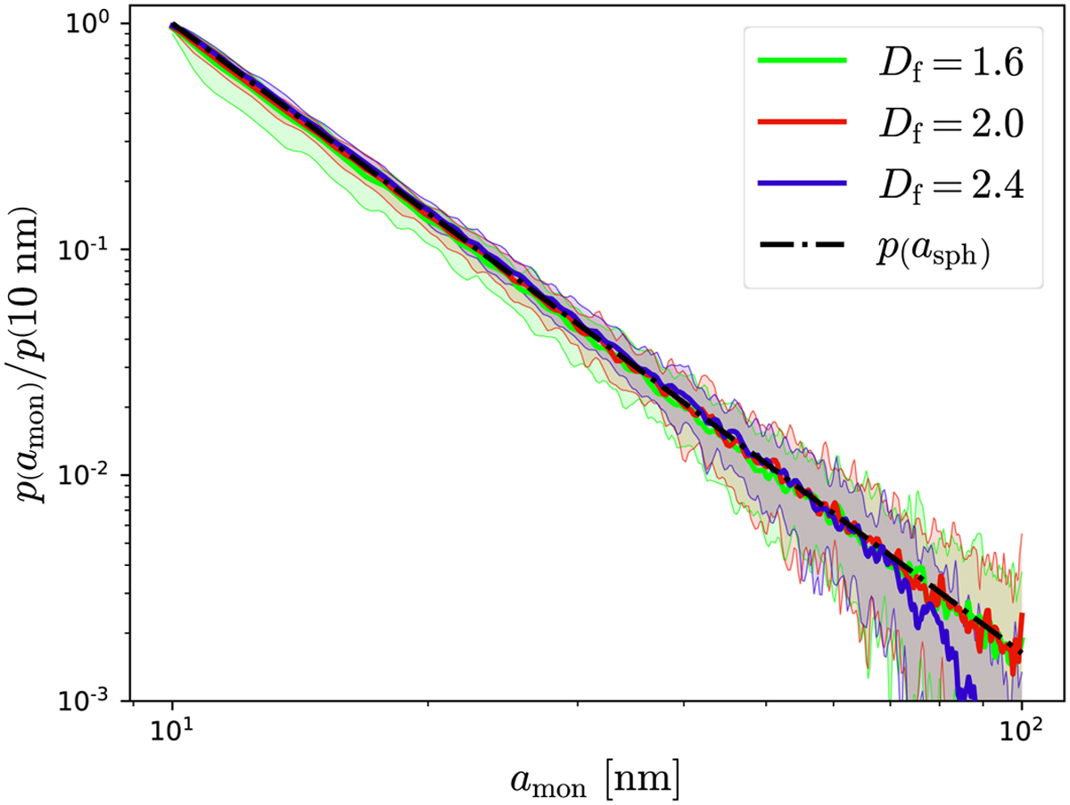
Distribution of the monomer size amon averaged over the grain ensemble with aeff = 400 nm for the fractal dimensions of Df = 1.6 (solid green), Df = 2.0 (solid red), Df = 2.4 (solid blue), respectively, in comparison with the distribution function p (amon), (dash dotted black). For comparison, all distributions are normalized by p (10 nm).
Current usage metrics show cumulative count of Article Views (full-text article views including HTML views, PDF and ePub downloads, according to the available data) and Abstracts Views on Vision4Press platform.
Data correspond to usage on the plateform after 2015. The current usage metrics is available 48-96 hours after online publication and is updated daily on week days.
Initial download of the metrics may take a while.