Open Access
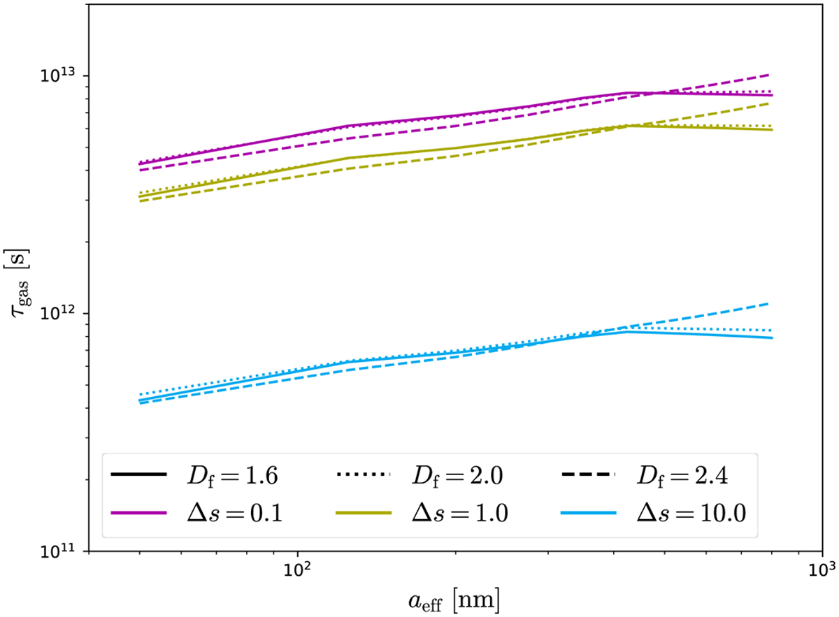
Fig. 6

Download original image
Characteristic gas drag timescale τgas of rotating grains over the effective radius aeff. The lines represent the average values over the ensemble of dust grains with a distinct fractal dimension Df and gas-dust drift ∆s assuming typical CNM conditions.
Current usage metrics show cumulative count of Article Views (full-text article views including HTML views, PDF and ePub downloads, according to the available data) and Abstracts Views on Vision4Press platform.
Data correspond to usage on the plateform after 2015. The current usage metrics is available 48-96 hours after online publication and is updated daily on week days.
Initial download of the metrics may take a while.