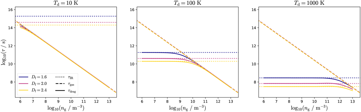
Fig. 8

Download original image
Comparison of the characteristic timescales of the IR drag τIR, the gas drag τgas, and the total drag τdrag, respectively, dependent on gas number densitie ngas and fractal dimension Df. The lines represent the average values over the entire ensemble of grains with an effective radius of aeff = 400 nm. For the gas we assume typical CNM conditions.
Current usage metrics show cumulative count of Article Views (full-text article views including HTML views, PDF and ePub downloads, according to the available data) and Abstracts Views on Vision4Press platform.
Data correspond to usage on the plateform after 2015. The current usage metrics is available 48-96 hours after online publication and is updated daily on week days.
Initial download of the metrics may take a while.