Fig. 4.

Download original image
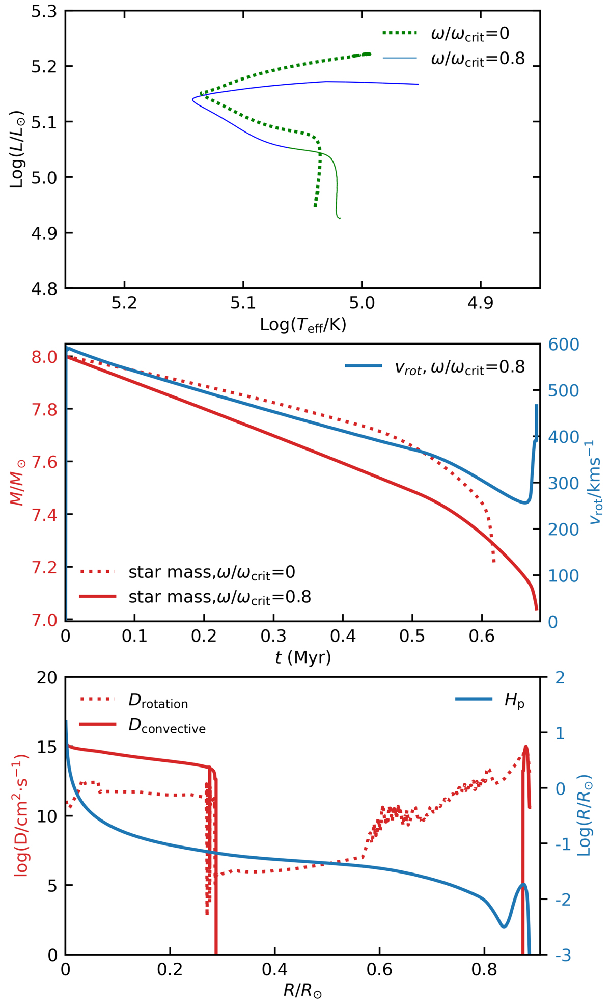
Evolutionary trends of 8 M⊙ He stars with ω/ωcrit = 0 and ω/ωcrit = 0.8, and internal structure of 8 M⊙ HeZAMS star with ω/ωcrit = 0.8. Upper panel: HR diagram of the evolutionary tracks of 8 M⊙ He stars with ω/ωcrit = 0 and ω/ωcrit = 0.8. Middle panel: evolution of rotation rate and mass with time. The x-axis shows time (unit: million years; zero point: HeZAMS). The red dotted and solid lines represent He stars with ω/ωcrit = 0 and ω/ωcrit = 0.8, respectively, corresponding to the red y-axis on the left. The blue solid line represents the rotational velocity of the He star with ω/ωcrit = 0.8, corresponding to the blue y-axis on the right. Lower panel: stellar mixing coefficients and the pressure scale height as a function of radius at HeZAMS. The red solid and dotted lines represent the convective mixing coefficient and the rotational mixing coefficient, respectively, corresponding to the red y-axis on the left. The blue solid line represents the pressure scale height, corresponding to the blue y-axis on the right.
Current usage metrics show cumulative count of Article Views (full-text article views including HTML views, PDF and ePub downloads, according to the available data) and Abstracts Views on Vision4Press platform.
Data correspond to usage on the plateform after 2015. The current usage metrics is available 48-96 hours after online publication and is updated daily on week days.
Initial download of the metrics may take a while.