Gaia Data Release 3
Open Access

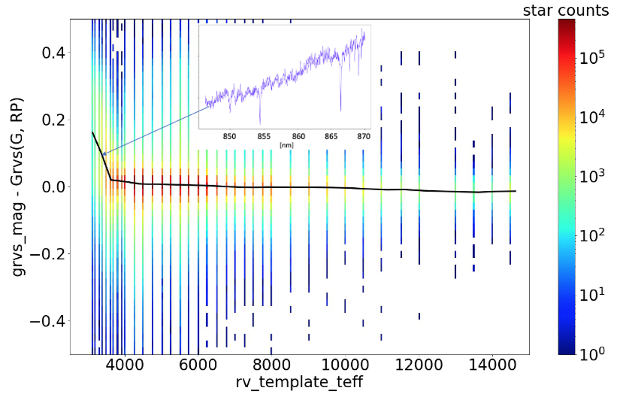
Fig. 12.

image

Download original image

residuals plotted against effective temperature Teff (rv_template_teff; see footnote 7) for stars with grvs_mag ≤ 12 mag. The black line shows the median relation. For stars cooler than Teff ∼ 3500 K, grvs_mag is fainter than . This is because of the positive gradient produced by TiO absorption in the spectra of such stars, as shown by the inset spectrum of a star with grvs_mag = 10.3 and Teff = 3300 K.

Current usage metrics show cumulative count of Article Views (full-text article views including HTML views, PDF and ePub downloads, according to the available data) and Abstracts Views on Vision4Press platform.

Data correspond to usage on the plateform after 2015. The current usage metrics is available 48-96 hours after online publication and is updated daily on week days.

Initial download of the metrics may take a while.