Gaia Data Release 3
Open Access

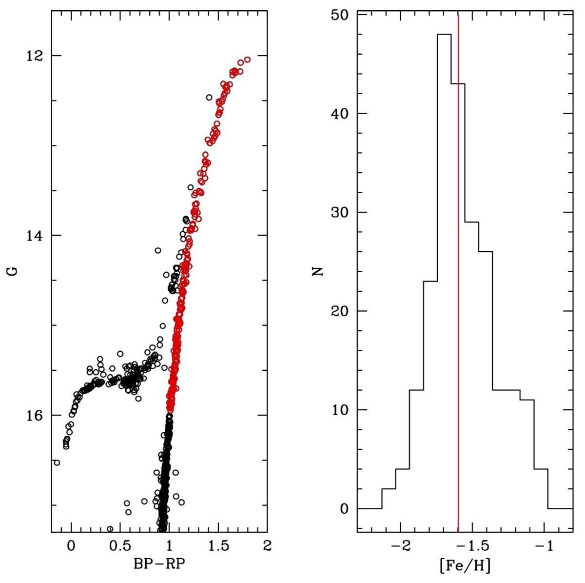
Fig. 25.

image

Download original image

Left-hand panel: Gaia CMD for the globular cluster NGC 5272. Red symbols indicate the giants for which a metallicity estimate was derived by means of the synthetic Strömgren photometry. Right-hand panel: metallicity distribution inferred from the synthetic m0 index for the selected stars. The vertical red line marks the 2.5σ-clipped mean value of [Fe/H] = −1.59 (σ = 0.14). The cluster spectroscopic metallicity as quoted in Carretta et al. (2009) is [Fe/H] = −1.50 ± 0.05.

Current usage metrics show cumulative count of Article Views (full-text article views including HTML views, PDF and ePub downloads, according to the available data) and Abstracts Views on Vision4Press platform.

Data correspond to usage on the plateform after 2015. The current usage metrics is available 48-96 hours after online publication and is updated daily on week days.

Initial download of the metrics may take a while.