Gaia Data Release 3
Open Access

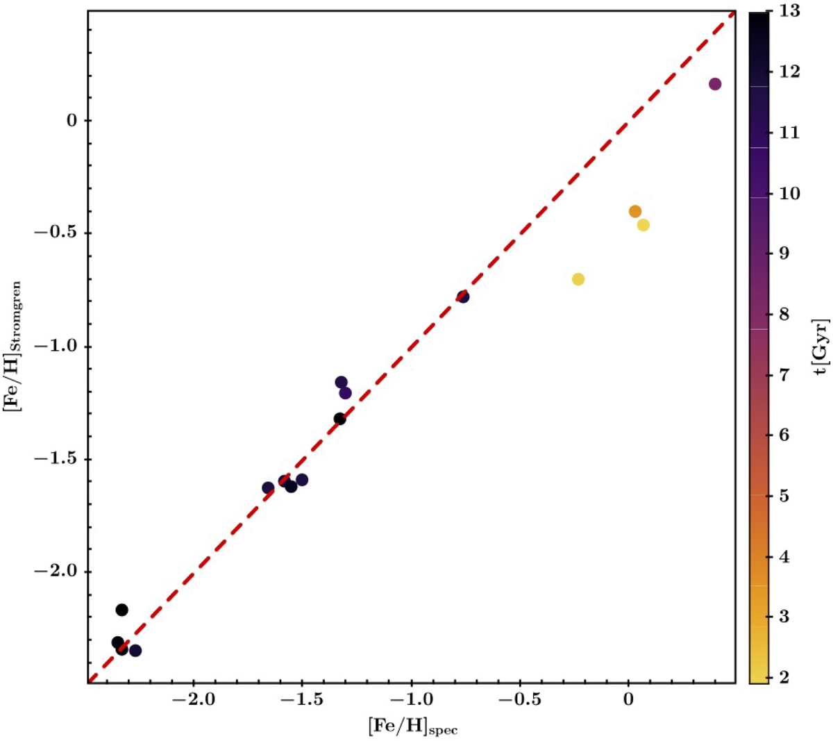
Fig. 26.

image

Download original image

Spectroscopic metallicity vs. photometric metallicity derived from the synthetic m0 Strömgren index. The colour-coding indicates the age of each star cluster. Error bars are smaller than the symbol size.

Current usage metrics show cumulative count of Article Views (full-text article views including HTML views, PDF and ePub downloads, according to the available data) and Abstracts Views on Vision4Press platform.

Data correspond to usage on the plateform after 2015. The current usage metrics is available 48-96 hours after online publication and is updated daily on week days.

Initial download of the metrics may take a while.