Gaia Data Release 3
Open Access

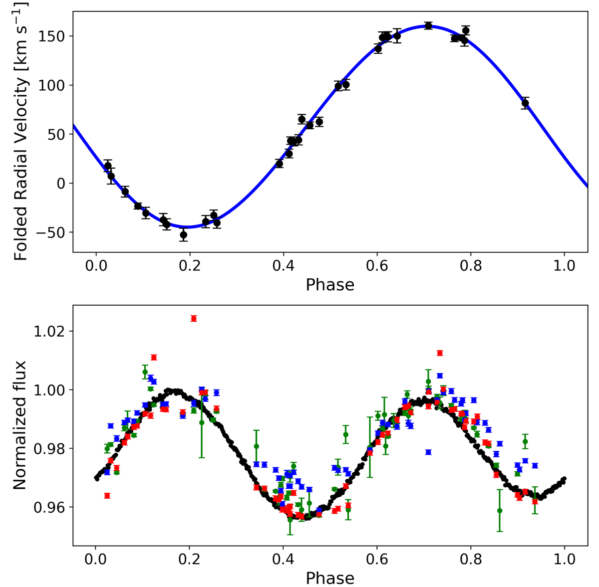
Fig. 46.

image

Download original image

Top panel: phase-folded radial velocity of Gaia DR3 2966694650501747328 (P = 10.398 d). Bottom panel: phase-folded TESS (black circles) and Gaia normalised flux (green, blue, and red circles: flux in G, GBP, and GRP bands respectively).

Current usage metrics show cumulative count of Article Views (full-text article views including HTML views, PDF and ePub downloads, according to the available data) and Abstracts Views on Vision4Press platform.

Data correspond to usage on the plateform after 2015. The current usage metrics is available 48-96 hours after online publication and is updated daily on week days.

Initial download of the metrics may take a while.