Open Access
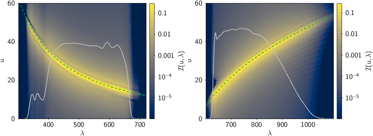
Fig. 9.

Download original image
Visual representation of instrument matrix for BP (left panel) and RP (right panel) instruments. Green dashed curves are the dispersion relations, and white curves sum up the matrix columns and represent the response curves.
Current usage metrics show cumulative count of Article Views (full-text article views including HTML views, PDF and ePub downloads, according to the available data) and Abstracts Views on Vision4Press platform.
Data correspond to usage on the plateform after 2015. The current usage metrics is available 48-96 hours after online publication and is updated daily on week days.
Initial download of the metrics may take a while.