Open Access

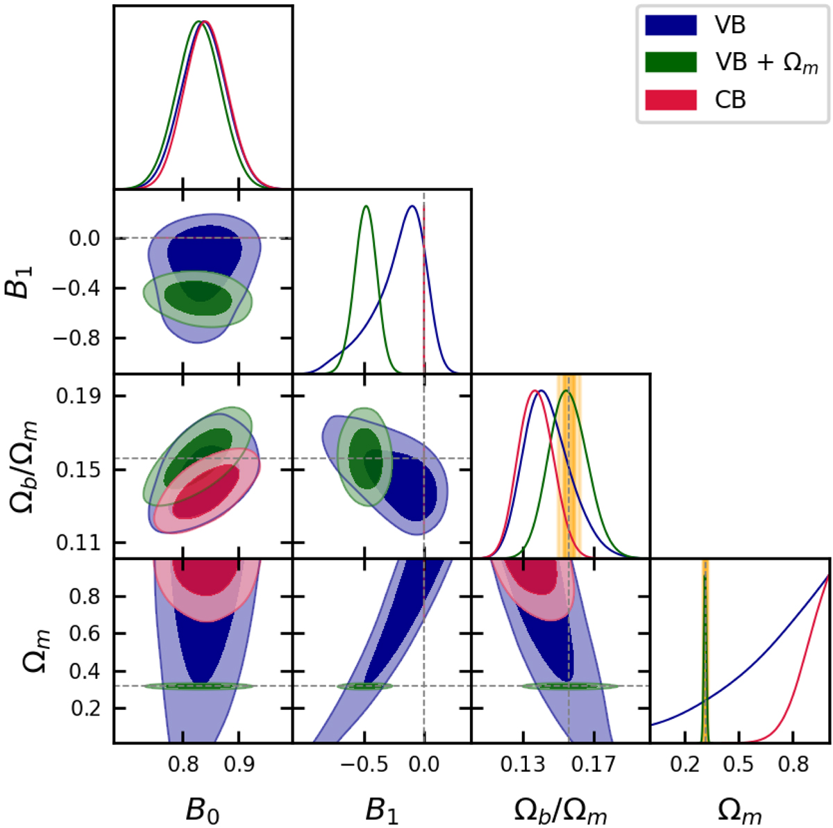
Fig. 8.

image

Download original image

1D and 2D posteriors obtained when comparing the CB, VB and VB + Ωm scenarios with a linear parametrization. The contours mark the 68% and 95% c.l. and the gray dashed lines highlight reference values for (B1, Ωbm, Ωm)=(0, 0.156, 0.315). The orange bands mark the Planck Collaboration VI (2020) values for Ωbm and Ωm at 2σ c.l.

Current usage metrics show cumulative count of Article Views (full-text article views including HTML views, PDF and ePub downloads, according to the available data) and Abstracts Views on Vision4Press platform.

Data correspond to usage on the plateform after 2015. The current usage metrics is available 48-96 hours after online publication and is updated daily on week days.

Initial download of the metrics may take a while.