Open Access

Fig. 7

image

Download original image

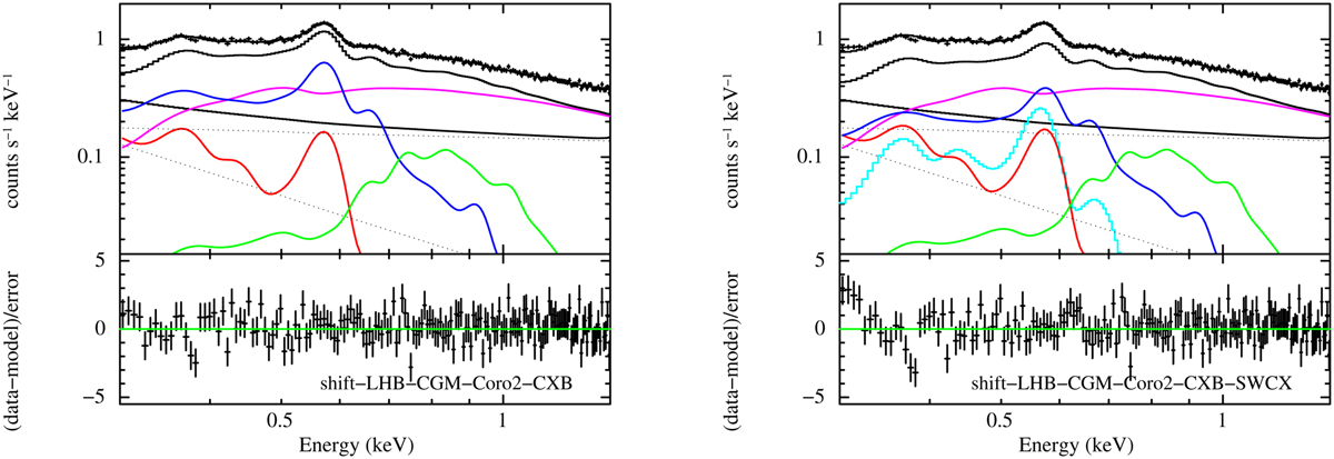
Same spectrum and color scheme as in Fig. 5. Left panel: Best fit result with a recombining plasma emission model (RNEI in XSPEC) for the Galactic corona (solid green) in addition to the components considered in the bottom left panel of Fig. 5 (shiſt-LHB-CGM-Coro2-CXB in Table 2). Right panel: Same as left panel, but with the addition of the SWCX component (shiſt-LHB-CGM-CXB-Coro2-SWCX model).

Current usage metrics show cumulative count of Article Views (full-text article views including HTML views, PDF and ePub downloads, according to the available data) and Abstracts Views on Vision4Press platform.

Data correspond to usage on the plateform after 2015. The current usage metrics is available 48-96 hours after online publication and is updated daily on week days.

Initial download of the metrics may take a while.