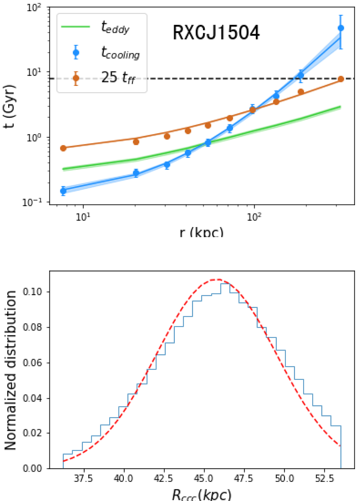
Fig. 2.

Download original image
Profiles of teddy, tcool and 25 × tff as a function of the physical radius for RXCJ1504 (top panel). Distribution of intersection radii defined by the condition tcool(Rcc) = teddy(Rcc), obtained by sampling random profiles extracted according to the uncertainty on the best-fit profile (tottom panel). The red dashed line shows the Gaussian fit to the distribution used to derive the central value for Rccc and its 1σ uncertainty.
Current usage metrics show cumulative count of Article Views (full-text article views including HTML views, PDF and ePub downloads, according to the available data) and Abstracts Views on Vision4Press platform.
Data correspond to usage on the plateform after 2015. The current usage metrics is available 48-96 hours after online publication and is updated daily on week days.
Initial download of the metrics may take a while.