Fig. 11.

Download original image
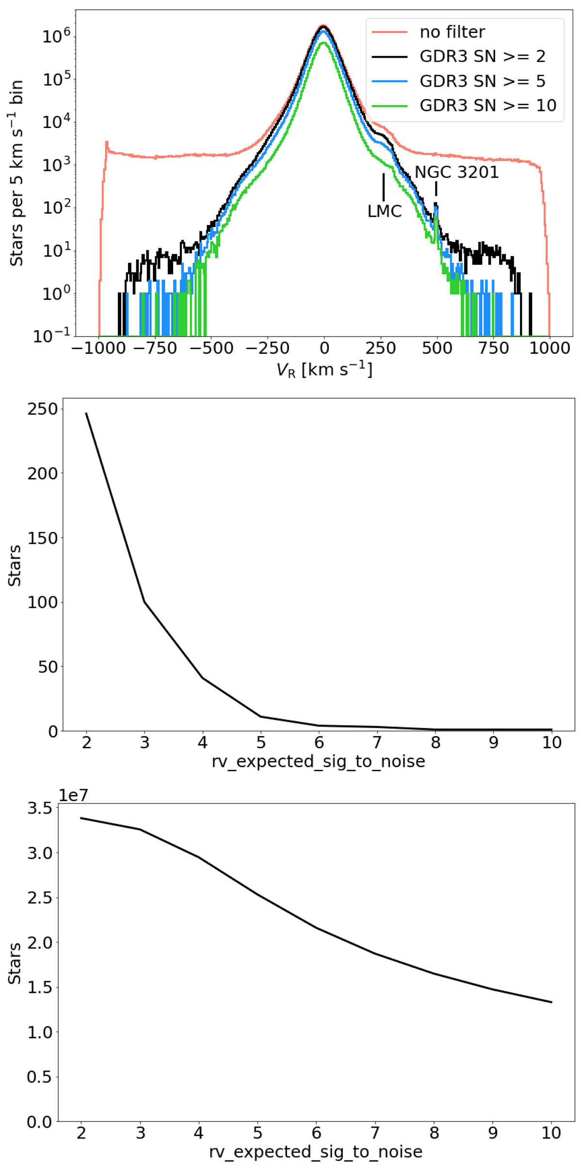
Top: distributions of the radial velocities of the 37 499 608 sources successfully processed by the pipeline (salmon), the 33 812 183 Gaia DR3 sources (black), the 25.3 million Gaia DR3 sources with rv_expected_sig_to_noise ≥ 5 (cyan), and the 13.3 million Gaia DR3 sources with rv_expected_sig_to_noise ≥ 10 (green). Middle: number of Gaia DR3 sources with |VR|≥750 km s−1 and an rv_expected_sig_to_noise higher than or equal to the abscissa value. Bottom: number of Gaia DR3 sources with an rv_expected_sig_to_noise higher than or equal to the abscissa value.
Current usage metrics show cumulative count of Article Views (full-text article views including HTML views, PDF and ePub downloads, according to the available data) and Abstracts Views on Vision4Press platform.
Data correspond to usage on the plateform after 2015. The current usage metrics is available 48-96 hours after online publication and is updated daily on week days.
Initial download of the metrics may take a while.