Fig. 24.

Download original image
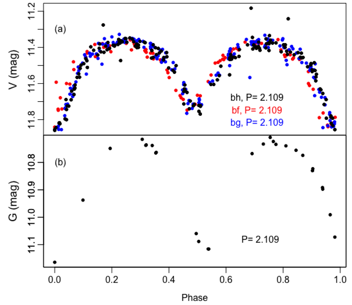
Folded light curve for Gaia DR3 4066039874096072576 using different colours for each ASAS-SN camera. (a) The recovered period is almost always the same at 1.0545 days in the 3 different cameras provided by ASAS-SN, which is half of the period referred to in the literature. The folded light curve is plotted with twice the period recovered in each camera. (b) The same source using data and the period found in Gaia DR3.
Current usage metrics show cumulative count of Article Views (full-text article views including HTML views, PDF and ePub downloads, according to the available data) and Abstracts Views on Vision4Press platform.
Data correspond to usage on the plateform after 2015. The current usage metrics is available 48-96 hours after online publication and is updated daily on week days.
Initial download of the metrics may take a while.