Fig. 1

Download original image
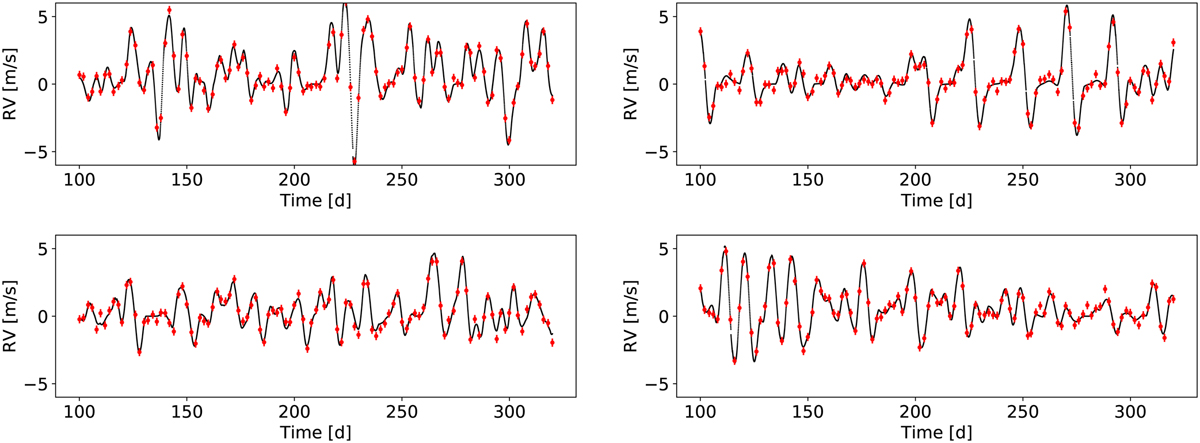
Four simulated example data sets. The black points represent the modeled StarSim RVs, and the red points represent the simulated observations with their error bars. Top left: random spot distribution, tspot = Prot = 22 days. Top right: two active longitudes, tspot = Prot = 22 days. Bottom left: random spot distribution, tspot = 5Prot = 110. Bottom right: two active longitudes, tspot = 5Prott = 110 days.
Current usage metrics show cumulative count of Article Views (full-text article views including HTML views, PDF and ePub downloads, according to the available data) and Abstracts Views on Vision4Press platform.
Data correspond to usage on the plateform after 2015. The current usage metrics is available 48-96 hours after online publication and is updated daily on week days.
Initial download of the metrics may take a while.