Open Access
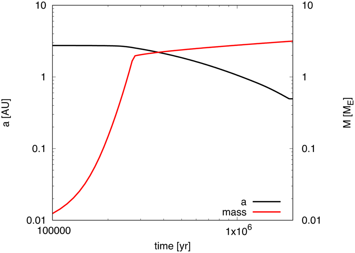
Fig. B.2

Download original image
Evolution of the semi-major axis and mass of a single planet starting at 2.75 AU (our closest initial position) in a disk that is already evolved for 3 Myr. During the remaining 2 Myr of evolution, the planet is unable to migrate to the disk’s inner edge.
Current usage metrics show cumulative count of Article Views (full-text article views including HTML views, PDF and ePub downloads, according to the available data) and Abstracts Views on Vision4Press platform.
Data correspond to usage on the plateform after 2015. The current usage metrics is available 48-96 hours after online publication and is updated daily on week days.
Initial download of the metrics may take a while.