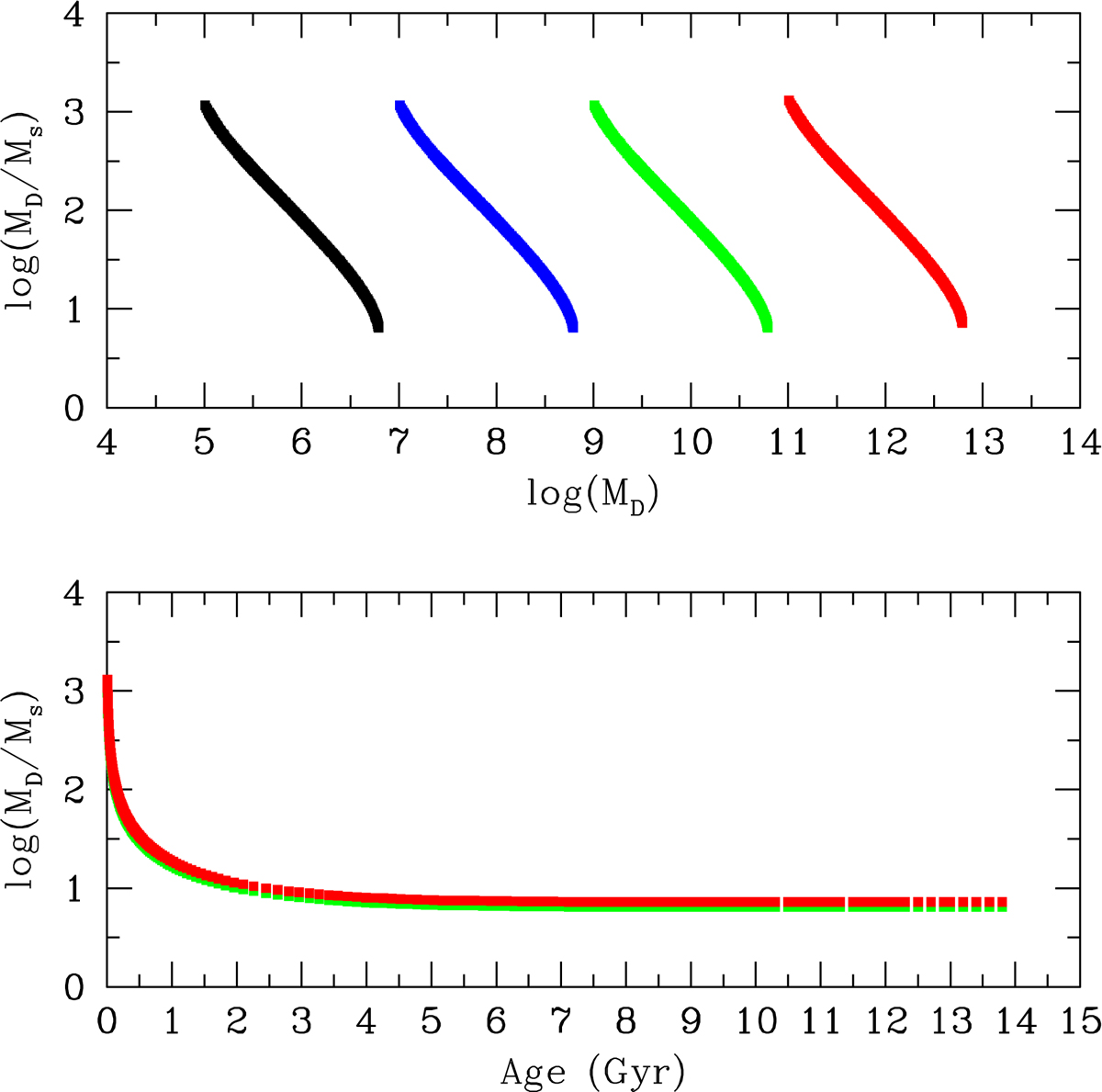
Fig. 18.

Download original image
Ratio m = MD/Ms as a function of the mass of dark matter MD (top panel) and age (bottom panel) for our model galaxies. Masses are in M⊙ and ages in Gyr. The model galaxies are in different colors and ranked according to their total baryonic mass MB reached at the present time (black: 106; blue: 108; green: 1010, and red: 1012). In the bottom panel all the lines overlap each other.
Current usage metrics show cumulative count of Article Views (full-text article views including HTML views, PDF and ePub downloads, according to the available data) and Abstracts Views on Vision4Press platform.
Data correspond to usage on the plateform after 2015. The current usage metrics is available 48-96 hours after online publication and is updated daily on week days.
Initial download of the metrics may take a while.