Fig. 24.

Download original image
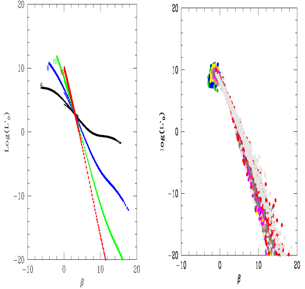
The mutual relationship between β and . Left panel:
− β relation of our models (left panel) evolved without galactic winds. All the relationships are nearly identical passing from models with large radii to those with smaller radii (by a factor of 4), and the corresponding solutions of the equations for β and
, and finally changing only the photometric passband in use. The relationships seem to depend only on the galaxy mass. Right panel:
− β relation for the artificial galaxies of Illustris-1. Each color corresponds to a different redshift epoch: green (z = 4), blue (z = 3), yellow (z = 2.2), brown (z = 1.6), magenta (z = 1.0), dark gray (z = 0.6), red (z = 0.2), and light gray (z = 0).
Current usage metrics show cumulative count of Article Views (full-text article views including HTML views, PDF and ePub downloads, according to the available data) and Abstracts Views on Vision4Press platform.
Data correspond to usage on the plateform after 2015. The current usage metrics is available 48-96 hours after online publication and is updated daily on week days.
Initial download of the metrics may take a while.