Open Access
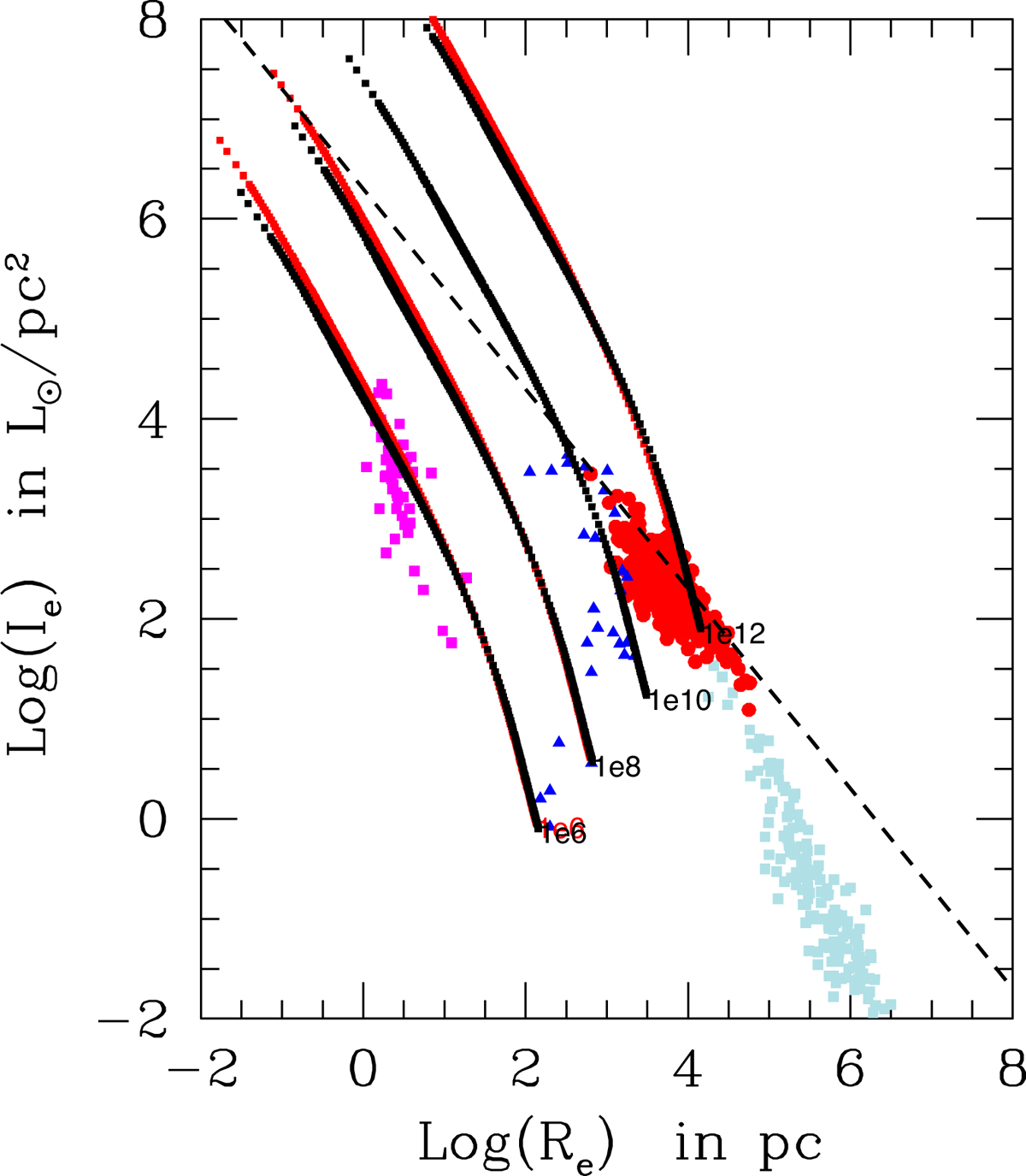
Fig. 26.

Download original image
Ie − Re plane of our model galaxies with galactic winds powered by the energy input from supernova explosions and stellar winds. There is no visible difference with respect to the same plane of models without galactic wind. The same notation, symbols, and color-coding as in Fig. 23 is adopted.
Current usage metrics show cumulative count of Article Views (full-text article views including HTML views, PDF and ePub downloads, according to the available data) and Abstracts Views on Vision4Press platform.
Data correspond to usage on the plateform after 2015. The current usage metrics is available 48-96 hours after online publication and is updated daily on week days.
Initial download of the metrics may take a while.