Open Access
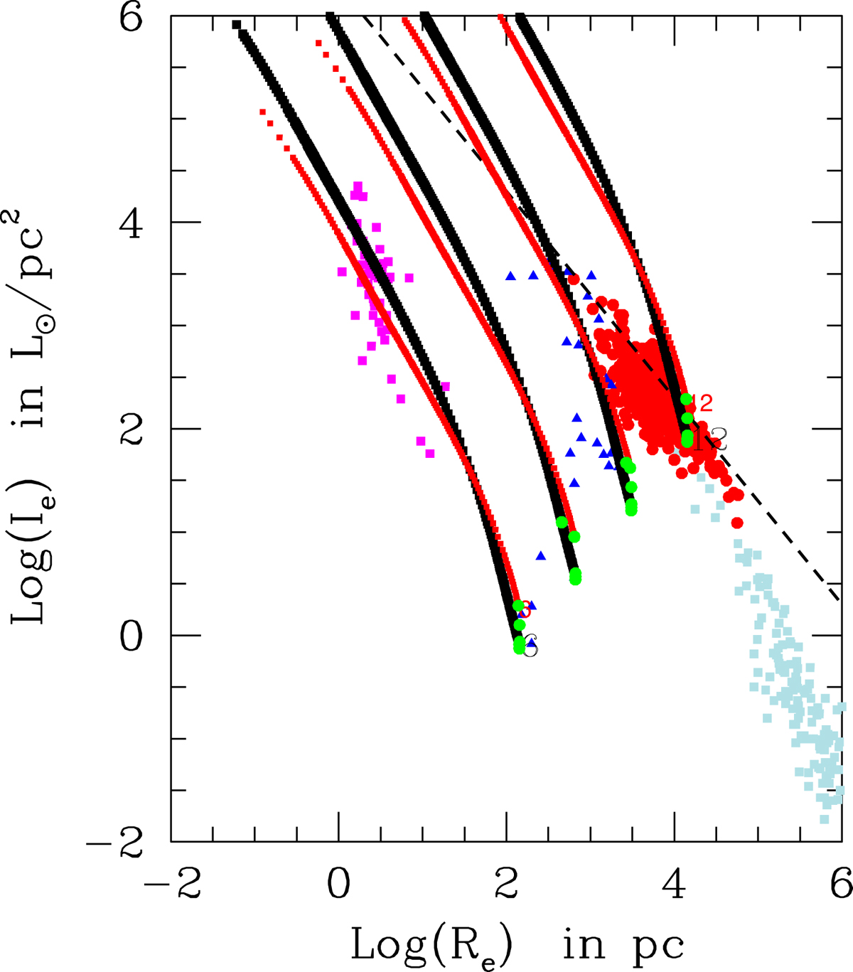
Fig. 27.

Download original image
The Ie − Re plane of our model galaxies with different formation redshift zf, namely 10, 5, 3, 1 and 0.5. The four green points of different colors are the present-day stage of model galaxies whose existence began at redshifts from 0.5 to 5. The effect is quite small.
Current usage metrics show cumulative count of Article Views (full-text article views including HTML views, PDF and ePub downloads, according to the available data) and Abstracts Views on Vision4Press platform.
Data correspond to usage on the plateform after 2015. The current usage metrics is available 48-96 hours after online publication and is updated daily on week days.
Initial download of the metrics may take a while.