Fig. 7

Download original image
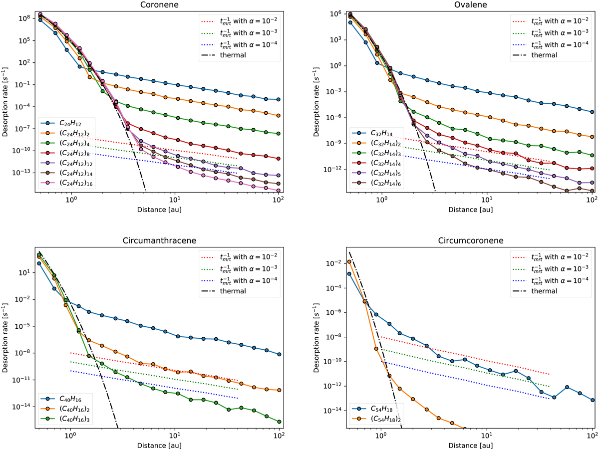
Desorption rates in the Herbig disc STD photosphere calculated with the Monte Carlo model for increasing cluster sizes, radii, and PAH species. Shown are thermal evaporation rates calculated from Eqs. (13) and (23) (dash-dotted lines) and turbulent mean-residence time in the photosphere calculated in Sect. 3.3 (dotted lines). For increasing PAH size and cluster size, desorption becomes slower until clusters are unlikely to desorb at all. PAH coagulation and adsorption on dust grains therefore lead to loss of gas-phase PAHs to the grains. More PAH species are available in Fig. C.1.
Current usage metrics show cumulative count of Article Views (full-text article views including HTML views, PDF and ePub downloads, according to the available data) and Abstracts Views on Vision4Press platform.
Data correspond to usage on the plateform after 2015. The current usage metrics is available 48-96 hours after online publication and is updated daily on week days.
Initial download of the metrics may take a while.