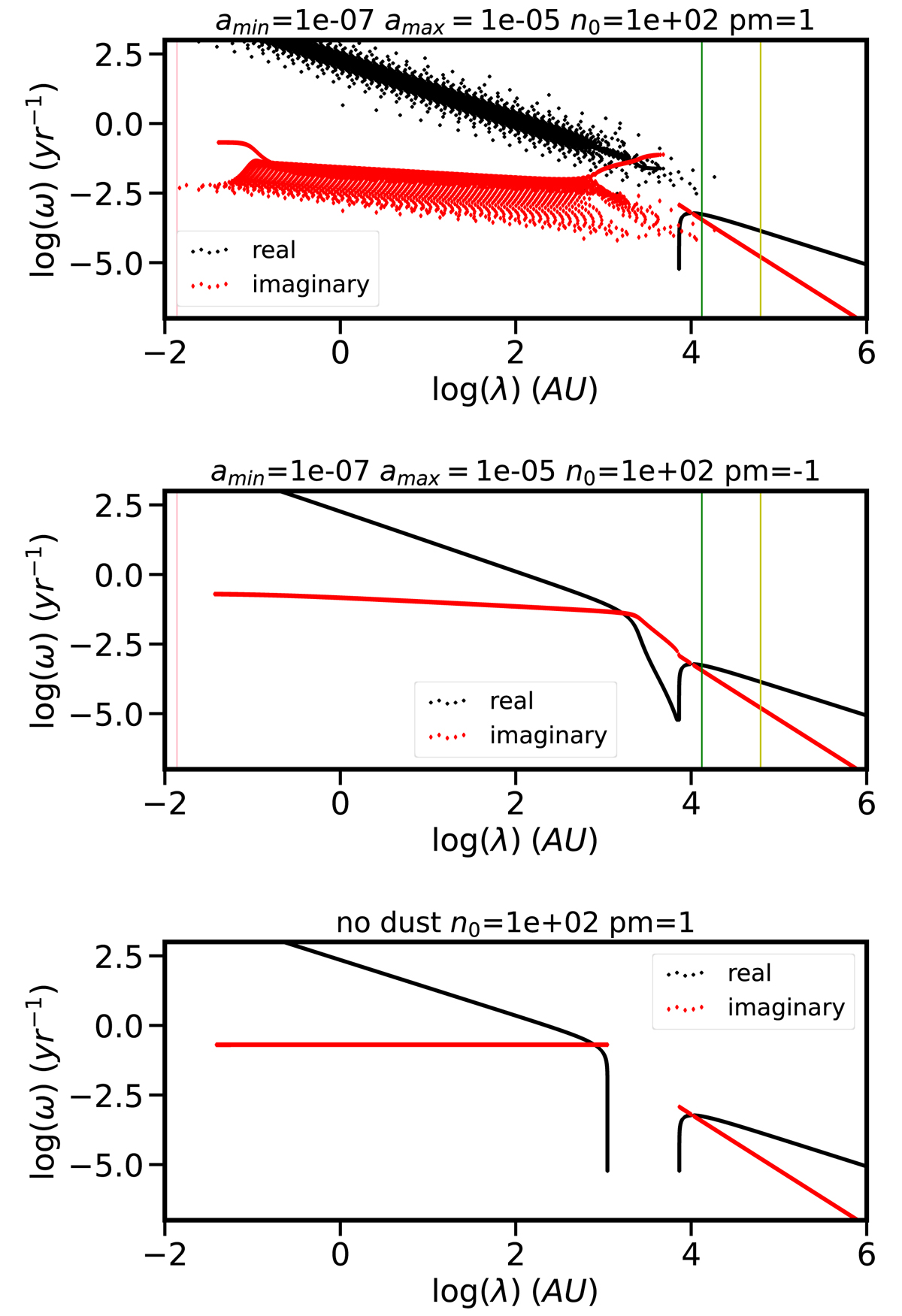
Fig. 14.

Download original image
Wave frequency as a function of wavelengths for n0 = 102 cm−3. An ionization of 10−4 is assumed. Bottom panel corresponds to the case with no dust, i.e., only ions and electrons (the “+” and “–” modes are indistinguishable). For the top and middle panels (respectively “–” and “+” modes), dust is included a standard MRN distribution, with amin = 1 × 10−7 cm amax = 1 × 10−5 cm is assumed.
Current usage metrics show cumulative count of Article Views (full-text article views including HTML views, PDF and ePub downloads, according to the available data) and Abstracts Views on Vision4Press platform.
Data correspond to usage on the plateform after 2015. The current usage metrics is available 48-96 hours after online publication and is updated daily on week days.
Initial download of the metrics may take a while.