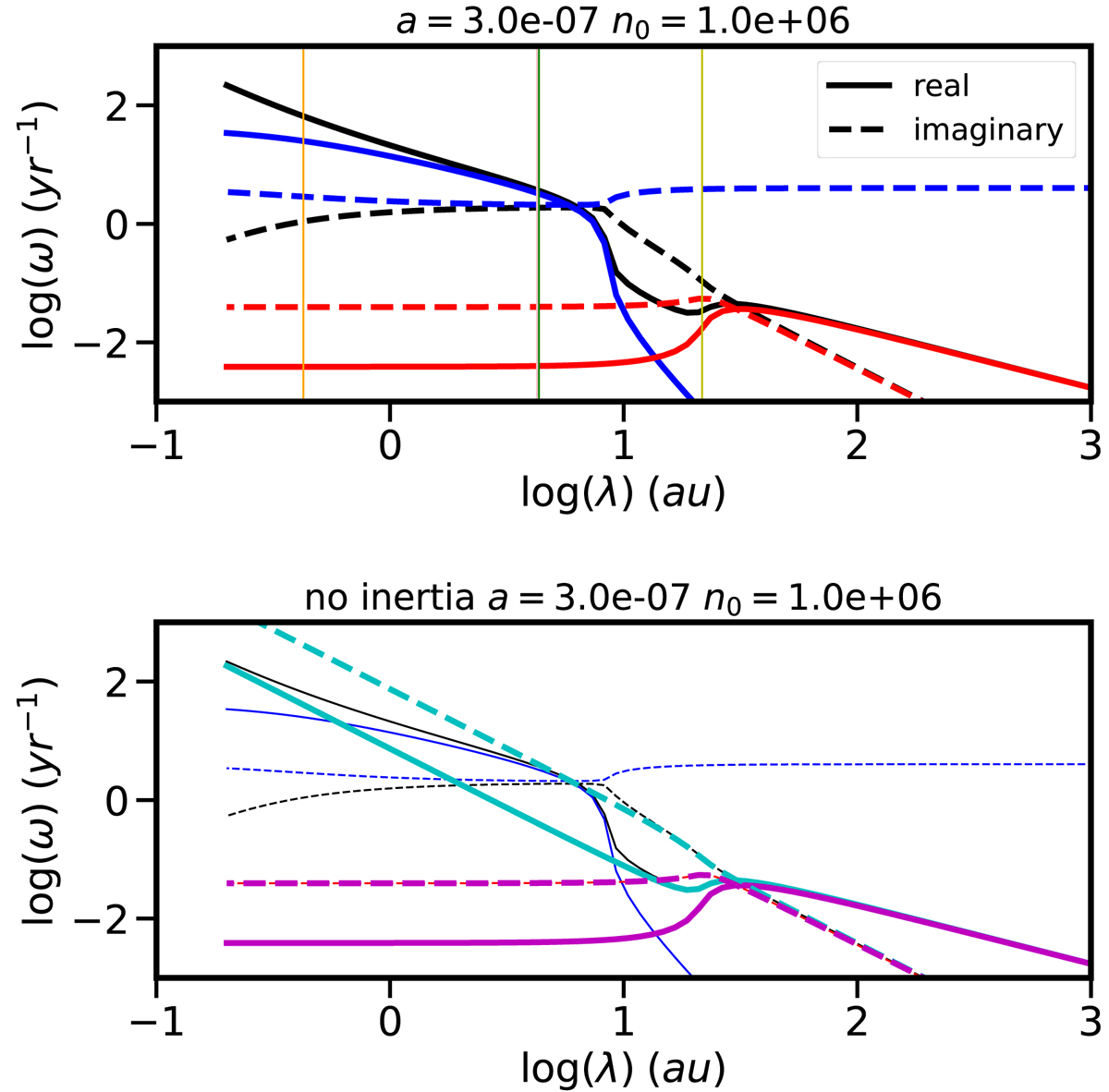
Fig. 2.

Download original image
Wave frequency as a function of wavelengths for n0 = 106 cm−3 and a single grain size of a = 3 × 10−7 cm. In the top panel, the grain inertia is considered and the three modes are displayed (dark, blue, and red lines). Both the real (solid lines) and the imaginary (dashed lines) parts are shown. In the bottom panels, the grain inertia is neglected and the two corresponding modes are displayed (cyan and purple). The modes of top panel have been drawn in the bottom panel (thin lines) for ease of comparison. At large wavelengths, inertia does not play any role. However at a scale smaller than about 10 au, the inertia drastically modify the Alfvén wave propagation. The yellow, green, pink, and orange vertical lines represent λAW, diss, n, λAW, diss, d, λAW, hall, n and, λAW, hall, d, respectively (see Eqs. (41)–(44)). We note that in this particular case, λAW, diss, d = λAW, hall, n and so, the pink line is not visible.
Current usage metrics show cumulative count of Article Views (full-text article views including HTML views, PDF and ePub downloads, according to the available data) and Abstracts Views on Vision4Press platform.
Data correspond to usage on the plateform after 2015. The current usage metrics is available 48-96 hours after online publication and is updated daily on week days.
Initial download of the metrics may take a while.