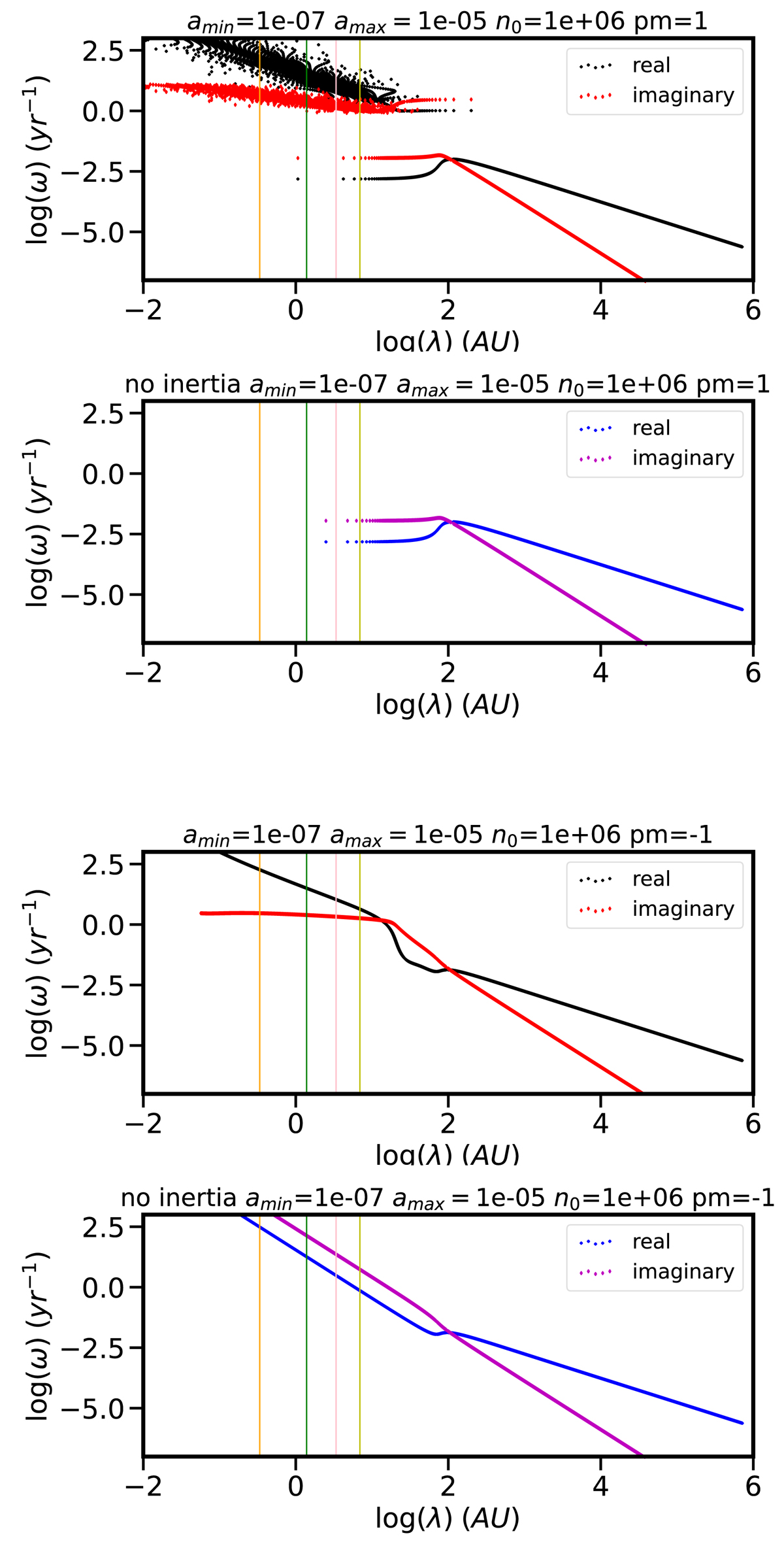
Fig. 8.

Download original image
Wave frequency as a function of wavelengths for n0 = 106 cm−3 and amin = 1 × 10−7 cm amax = 1 × 10−5 cm. First panel displays the real and imaginary part of the frequency for the “+” circularly polarized mode. Second panel shows the result when grain inertia is neglected. Third and fourth panels same as the first and second, but displaying the “–” circularly polarized mode.
Current usage metrics show cumulative count of Article Views (full-text article views including HTML views, PDF and ePub downloads, according to the available data) and Abstracts Views on Vision4Press platform.
Data correspond to usage on the plateform after 2015. The current usage metrics is available 48-96 hours after online publication and is updated daily on week days.
Initial download of the metrics may take a while.