Open Access
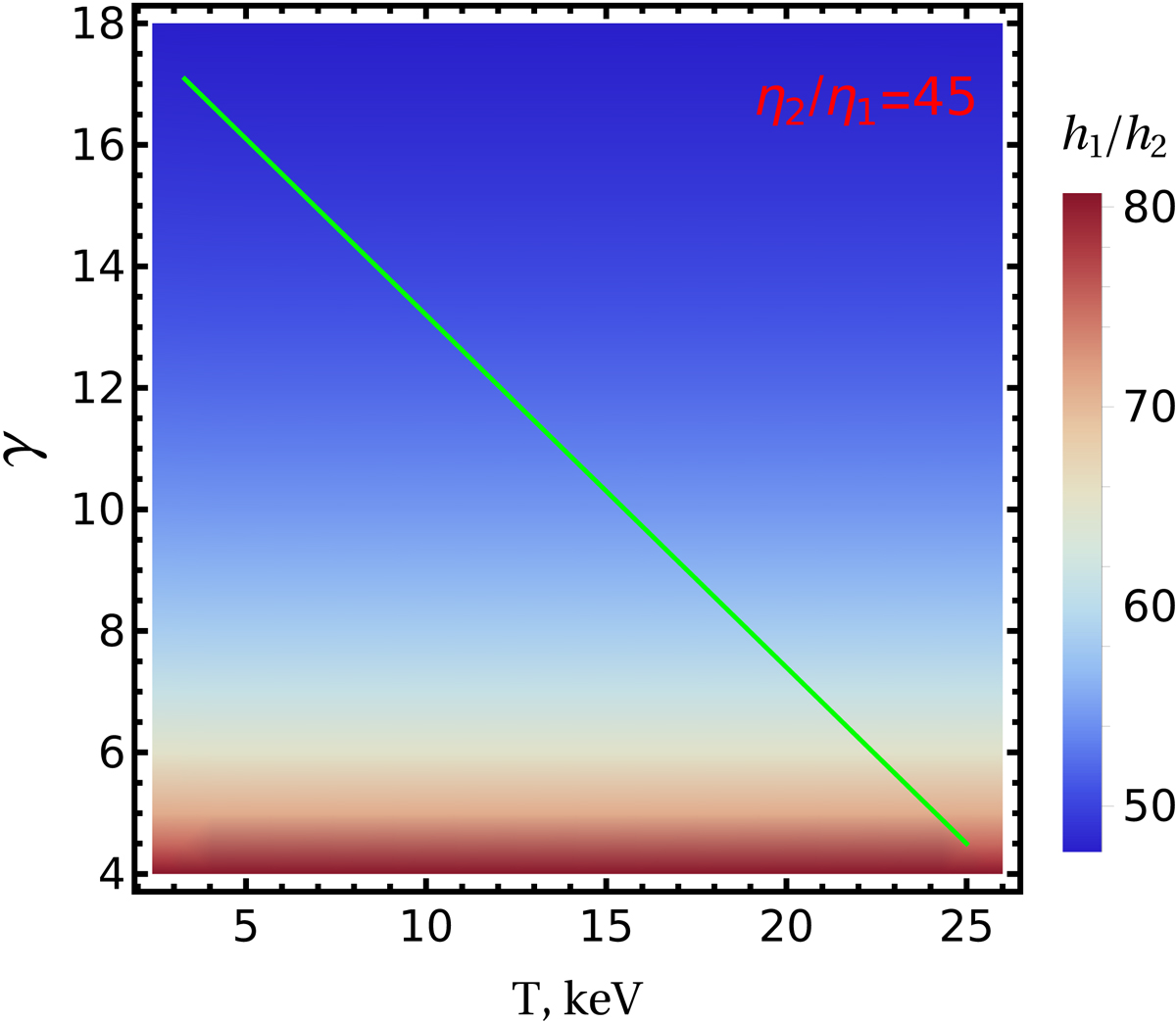
Fig. 2.

Download original image
Dependence of the ratio of the TL height to that of the disk h1/h2 on the Reynolds number γ2 = Ṁ/4πh2η2 and temperature in the TL T1 for the ratio of turbulent viscosities η2/η1 = 45. All other calculations were carried out along the diagonal line, which reflects the transition between the high/soft and low/hard states.
Current usage metrics show cumulative count of Article Views (full-text article views including HTML views, PDF and ePub downloads, according to the available data) and Abstracts Views on Vision4Press platform.
Data correspond to usage on the plateform after 2015. The current usage metrics is available 48-96 hours after online publication and is updated daily on week days.
Initial download of the metrics may take a while.