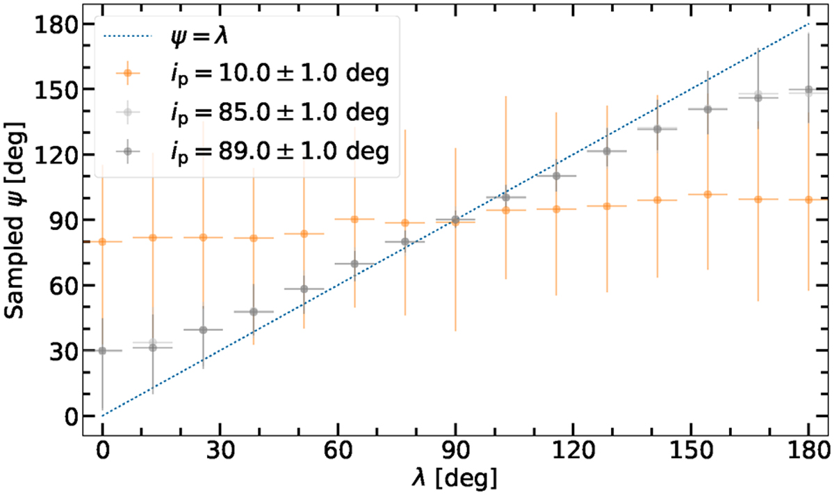
Fig. 9

Download original image
Estimates of ψ as a function of λ under the isotropic stellar inclination assumption, for three different values of the orbital inclination. Distributions for ψ are computed as described in the main text, assuming Gaussian distributions for λ and ip with respective standard deviations of 5° and 1°. Plotted values are the medians of the ψ distributions, with error bars set to their 68% HDIs.
Current usage metrics show cumulative count of Article Views (full-text article views including HTML views, PDF and ePub downloads, according to the available data) and Abstracts Views on Vision4Press platform.
Data correspond to usage on the plateform after 2015. The current usage metrics is available 48-96 hours after online publication and is updated daily on week days.
Initial download of the metrics may take a while.