Fig. 2

Download original image
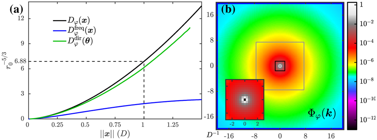
Structure function and PSD of the nφ=10000 simulated turbulent phase screens normalised by . Panel a: average radial profiles of the 2D structure function: Theoretical profile (Dφ(x); black), profile of the simulated set computed in the direct space
; green) and theoretical profile computed in the frequency domain
; blue). Panel b: theoretical 2D map of the PSD Φφ(k). The grey square represents the cut-off frequency |ki∊{1,2}| < (2Δ)−1.
Current usage metrics show cumulative count of Article Views (full-text article views including HTML views, PDF and ePub downloads, according to the available data) and Abstracts Views on Vision4Press platform.
Data correspond to usage on the plateform after 2015. The current usage metrics is available 48-96 hours after online publication and is updated daily on week days.
Initial download of the metrics may take a while.