Open Access
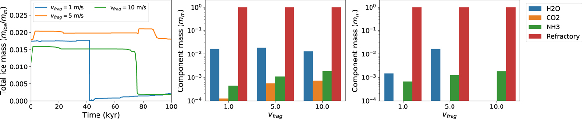
Fig. 13

Download original image
Evolution of the total ice mass mice of monomers in aggregates with different fragmentation velocity υfrag (left panel), together with snapshots of the monomer ice composition at 10 kyr (center panel), and 100 kyr (right panel).
Current usage metrics show cumulative count of Article Views (full-text article views including HTML views, PDF and ePub downloads, according to the available data) and Abstracts Views on Vision4Press platform.
Data correspond to usage on the plateform after 2015. The current usage metrics is available 48-96 hours after online publication and is updated daily on week days.
Initial download of the metrics may take a while.